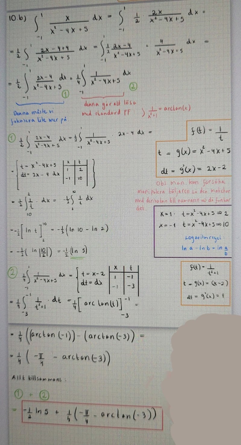
Integral med bråk
Blev det rätt på (2) när jag skulle få ut integralen
Jag tycker att du har räknat rätt.
Jag försökte tänka efter om arctan(-3) skulle ge något exakt värde men jag gick bet, så det går nog inte att förkorta mer än så, annat än att möjligen skriva om så att man blir av med en hoper minustecken och får bort parenteserna.
Jag vet att arctan 1 är pi/4 men om det är arctan 3, 3ggr pi/4. Blir det 3pi/4
Facit skriver 2 arctan (3) -pi/2 - 1/2* ln5
offan123 skrev:Jag vet att arctan 1 är pi/4 men om det är arctan 3, 3ggr pi/4. Blir det 3pi/4
Nej, så blir det inte.
Det gäller inte att arctan(k•x) = k•arctan(x)
Rita en skiss med hjälp av enhetscirkeln så ser du nog det.
Jan Ragnar skrev:
Varför kan jag inte bryta ut 1/4? Jag ville få en etta i täljaren eller tänker jag fel? Går det inte att dela upp integralen i två delar då jag insåg att jag har 2 olika rationella uttryck?
offan123 skrev:
Går det inte att dela upp integralen i två delar då jag insåg att jag har 2 olika rationella uttryck?
Jo det går bra, men ta inte så stora räknesteg i huvudet utan dela upp det i flera steg:
- Dela upp integralen i två delar. Kom ihåg faktorn 1/2 framför båda integralerna.
- Bryt ut lämplig faktor ur integranden i integral 2 för att få en etta i täljaren.
Eller föresten blir det inte 1/2*1/4=1/8 den totala utbrutna faktorn för integral 2?
Visa hur du tänker när du bryter ut en lämplig faktor ur bråket .
Du kan, och bör, alltid alltid kontrollera dina faktoriseringar genom att multiplicera ihop dem igen och se om du då får tillbaka ursprungsuttrycket
Hur gick det med den här? Hittade du felet?
