3
svar
89
visningar
yetxerz behöver inte mer hjälp
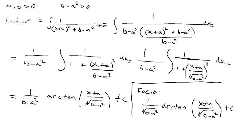
Integral med generella konstanter
Har jag gjort fel någonstans? Ber om ursäkt om det är svårt att tyda, det är gjort på paint..
Oj, ska givetvis vara en parantes på (b-a^2) efter andra = tecknet
Om f(x) har primitiv funktion F(x) så har f(cx + d) primitiv funktion F(cx + d)/c.
Ahaaa, gjorde fel sista steget. Blev rätt när jag gjorde variabelbyte till t. Tack!