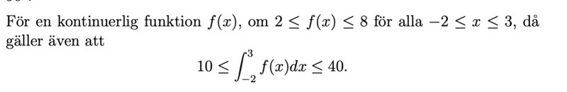
Integral med kontinuerlig funktion
jag behöver hjälp med att förstå mig på frågan? vad betyder allt

Integralens värde skulle minimeras om f(x) antog det minsta värdet på hela intervallet. Vad blir integralens värde om f(x) = 2 på hela intervallet?
om f(x) = 2
F(x) = 2x ?
2 * -2= -4
2* 3 = 6
-4-6 = -10
ska jag göra samma sak med
f(x) = 8 ?
isåfall är F(x) = 8x och ger -16-24 = -40
Vad innebär nu frågan och vad har jag egentligen beräknar här?
Rita upp en bild av de båda integralerna du har beräknat. Rita dit en (eller två eller femton) funktion som stämmer med f(x). Lägg upp bilden här.
jag vet inte om jag gjort rätt men här är en bild jag fick fram
Jag ser att du har ritat upp den stora rektangeln, men var är den lilla? Och vad är det för rät linje du har ritat in?
vad innebär nu detta?
Du vet att f(x) är kontinuerlig i intervallet mellan -2 och 3, så det går att rita f(x) utan att lyfta pennan. Du vet också att f(x) är större än (eller lika med) 2 och mindre än (eller lika med) 8 i hela intervallet. Det betyder att hur krångligt du än ritar f(x) (tänk på att det bara får finnas ett y-värde för varje x-värde, så man kan inte rita riktigt hur som helst) så kommer funktionen att avara mellan de båda linjerna y = 2 och y = 8. Det betyder att arean under funktionen f(x) måste vara större än den rektangel som är mellan -2 och 3 i x-led och mellan 0 och 2 i y-led (som har arean 10 ae) samtidigt som den är mindre än den rektangel om är mellan -2 och 3 i x-led och mellan 0 och 8 i y-led (som har arean 40 ae).
okej tack så mycket för hjälpen, det gjorde mycket att bara rita upp integralerna för då förstod jag bättre genom att bara kunna jämföra funktionerna och deras area i förhållande till varandra!