4
svar
106
visningar
offan123 behöver inte mer hjälp
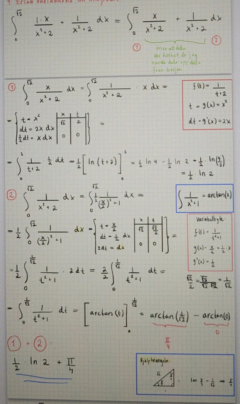
Integral med två bråk
Jag tror att (2) blir fel men jag ser inte vart det går snett. Ser någon felet?
Titta på den här omskrivningen och fundera på vad det är jag alltid brukar tjata om?

Juste, det ska vara rotenur 2
OK bra. Och lärdomen av detta blir?
Multiplicera in 1/2 i uttrycket och se om det stämmer som en kontroll.