4 svar
119 visningar
mattegeni1 3231
Postad: 4 mar 2022 11:07

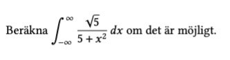
integral oändlighet

Hur räknar man denna?

Fermatrix 7621 – Fd. Medlem
Postad: 4 mar 2022 11:10

Dra ut roten ur 5 från integralen, då borde det nog se väldigt bekant ut, eller hur? 

mattegeni1 3231
Postad: 4 mar 2022 11:14
Dracaena skrev:

Dra ut roten ur 5 från integralen, då borde det nog se väldigt bekant ut, eller hur? 

hur menar du ska jag skriva 5^1/2 istället? 

Fermatrix 7621 – Fd. Medlem
Postad: 4 mar 2022 11:16 Redigerad: 4 mar 2022 11:16

Nej, eftersom du har en faktor rot(5) i täljaren så behöver du inte ta hänsyn till den inuti integralen.

Du kan alltså skriva det som rot(5)*(integralen här).

Detta eftersom cf(x)dx=cF(x)\int c f(x)dx=c F(x), här är konstanten vald som 0, men det spelar ingen roll.

Soderstrom 2768
Postad: 4 mar 2022 11:16 Redigerad: 4 mar 2022 12:20

5\sqrt{5} är bara en konstant den kan du skriva utanför integranden.


Tillägg: 4 mar 2022 11:17

T.ex:  5xdx=5·xdx\int \ 5x dx=5\cdot \int x dx

Svara
Close