Integral och partialbråksuppdelning
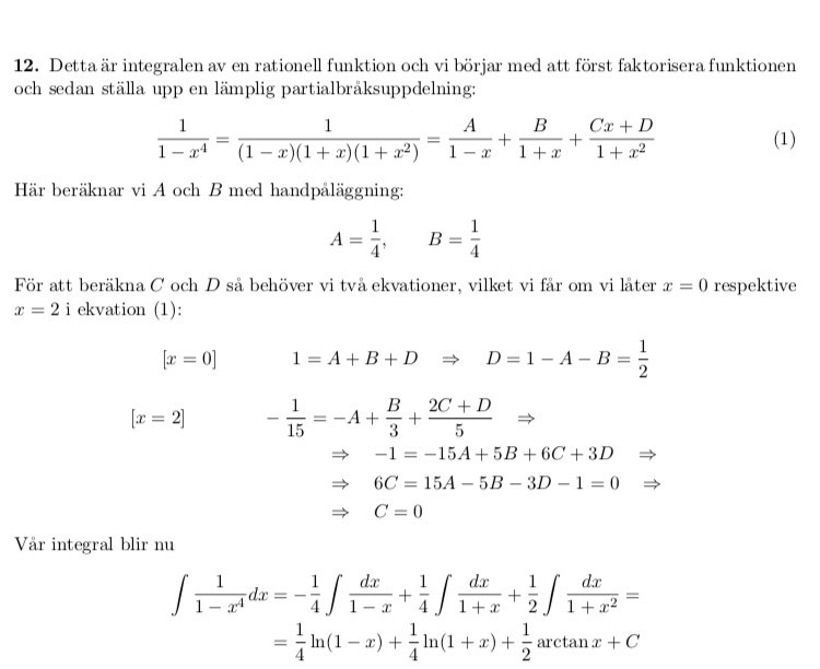
Hej jag skulle behöva hjälp med följande uppgift. Håller inte med svaret i facit. Uppgiften är tagen från en tenta. Man skulle bestämma integralen av (1)/(1-x^4). Håller med om att A=0,25 B= 0,25 C=0 och D=0,5.
Men sen när de ska lösa integralen på slutet så får de på den första termen 0,25 ln(1-x), men jag tycker att det måste vara -0,25ln(1-x). Detta eftersom A = 0,25 och inte -0,25. Har jag rätt i det påståendet?
Förutom den detaljen fick jag samma svar som facit.

Du har rätt, det skall vara ett minustecken framför den termen. Det måste blivit fel i facit.
Bra att du är uppmärksam!
AlvinB skrev:Du har rätt, det skall vara ett minustecken framför den termen. Det måste blivit fel i facit.
Bra att du är uppmärksam!
Tack så mycket!!