4
svar
287
visningar
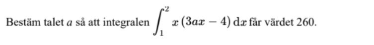
Multiplicera in x och integrera var del för sig. Kan du fortsätta?
f(x)=3ax^2-4x = (3ax²)^2/2-2x² ←primitiv
är det rätt såhär långt?
nja
F(x)=ax^3-2x^2 (+C)
jaa ojsan tänkte för snabbt där
men dåså löste och fick svaret a=38
