2
svar
90
visningar
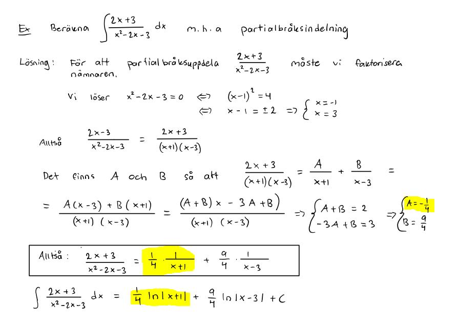
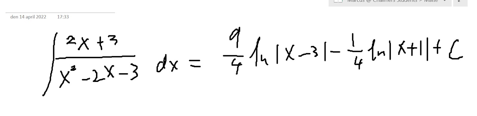
Integral-Partialbråksuppdelning

Borde inte koefficienten vara -1/4 så integralen borde blir:

Jo, ni får ju , sen slarvas det på slutet.
Har ja rätt då?
