1
svar
47
visningar
Soderstrom behöver inte mer hjälp
Integral — Två variabler
Hej!
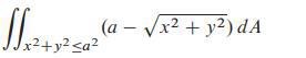
Jag ska beräkna följande integral. Jag kom fram till , när jag beräknade första integranden, men hur ska jag tänka kring andra integranden?
Tack på förhand.

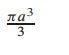
Facit:

Jag kom nu på att andra integranden är ett halvt klot så det löste sig.