4
svar
554
visningar
Integral utan gränser
Känner mig osäker på denna uppgift
Jag gjorde såhär:
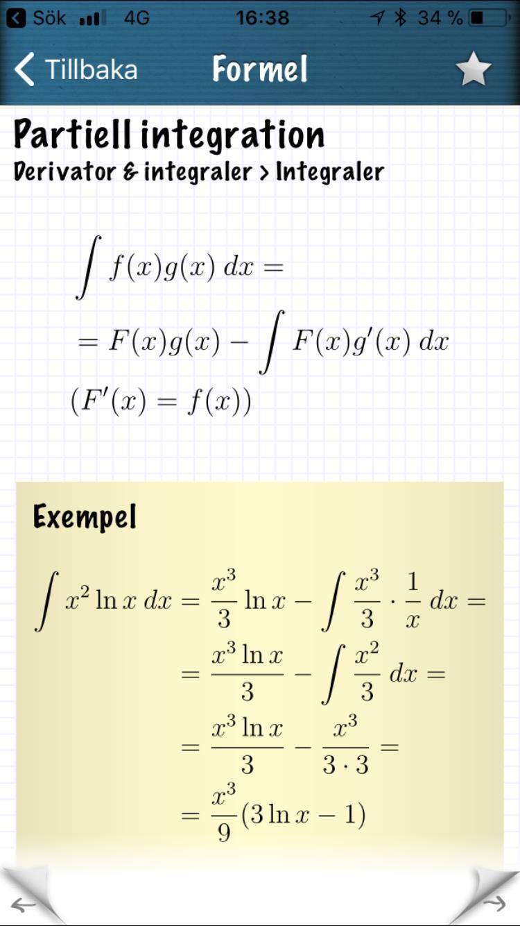
Det fungerar inte att integrera så. Använd partiell integration, se nedan:

tomast80 skrev :Det fungerar inte att integrera så. Använd partiell integration, se nedan:
Alltså är svaret
Derivera ditt svar och kolla om du får tillbaka ursprungsfunktionen.
Smaragdalena skrev :Derivera ditt svar och kolla om du får tillbaka ursprungsfunktionen.
Nu kanske jag gjort rätt!
Derivatan av det jag skrev innan var x -sinx dx
Men svaret skall alltså vara: