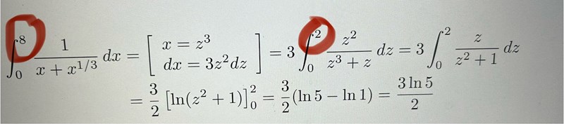
Integral, varför går den från 8 till 2?
hej!
jag sitter med en (lösningen) till en uppgift där jag nästan förstår allt tills det kommer till att värdet på integralen byter från 8 till 2 (se bild nedan), varför blir det så?
tacksam för alla svar!
mvh

Detta kallas för variabelsubstitution, där man byter ut x mot någon ny variabel. Du kan tänka det lite som motsatsen till kedjeregeln. I detta fall ser vi att x byts ut mot z^3. Eftersom integrationsgränserna är skriva i form av x måste det bytas ut mot z. Man vill då lösa ut dx, x = 8 och x = 0 mot z
Vi har alltså integralen och då måste integrationsgränserna bytas ut till z = något.
Eftersom x = z^3 har vi att den övre integrationsgränsen blir
Och den undre
(Jag tror detta egentligen är matte 5)