6
svar
126
visningar
integral volym
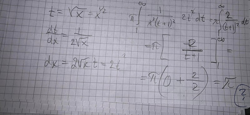
Har jag räknat rätt blir svaret pi? Eller vart har jag räknat fel?

så
eller
Dr. G skrev:så
eller
jag förstår inte vad du menar har jag räknat rätt eller fel? ska det bli pi?
Du har skrivit
och sätter sedan in
Svaret blir inte pi.
Dr. G skrev:Du har skrivit
och sätter sedan in
Svaret blir inte pi.
nu fick jag pi(ln2-1) stämmer detta?
Dr. G skrev:Du har skrivit
och sätter sedan in
Svaret blir inte pi.
jag fick 2pi(ln2-1/2) stämmer detta? kan jag förenkla det till pi(ln2-1) ?
mattegeni1 skrev:
jag fick 2pi(ln2-1/2) stämmer detta? kan jag förenkla det till pi(ln2-1) ?
Det första rätt, men förenklingen är fel.