1
svar
158
visningar
Integralberäkning
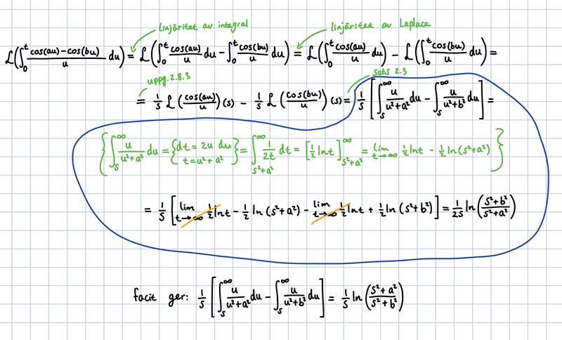
Hej, jag försöker göra en uppgift på Laplacetransformen men verkar inte få till integralberäkningen, får lite annorlunda än facit. Har ringat in integral delen med blått.



Zeshen skrev:Hej, jag försöker göra en uppgift på Laplacetransformen men verkar inte få till integralberäkningen, får lite annorlunda än facit. Har ringat in integral delen med blått.
Verkar som att min integralberäkning är korrekt? (Checkade med wolframalpha) Var gick fel någonstans?