3
svar
104
visningar
Kanelbullen behöver inte mer hjälp
Integralberäkning med ln
Hej!
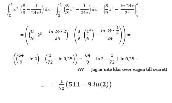
Jag har med hjälp av er på pluggakuten beräknat en integral.
När jag slog in den på räknaren fick jag ca 7,01 vilket stämmer väl överens med det exakta svaret som en hjälpsam själ på Pluggakuten gav mig. Detta uttryck har ln med.
Men jag skulle så gärna vilja ha förklarat för mig vägen till det exakta svaret.
Kan ni hjälpa mig se vad jag gjort för fel och hur jag kan använda de olika "insikter" som jag presenterar?


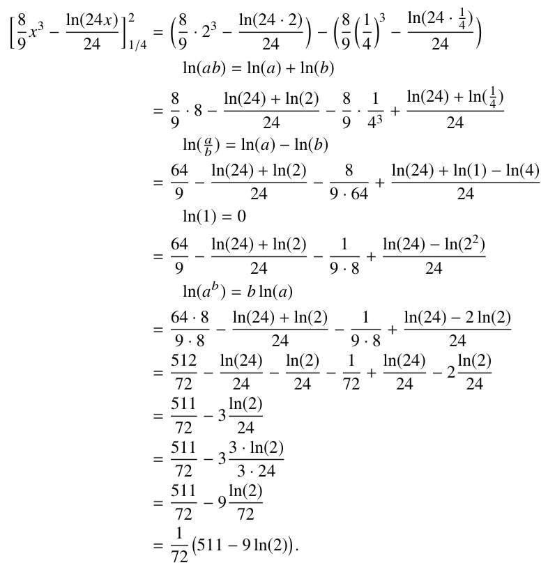
ln(0,25)=ln(1/4)=ln(2-2)=-2ln(2)
kan det underlätta?
eller är det något annat steg i förenklingen du inte förstår?
Tack så mycket!
