1
svar
83
visningar
Integralekvation

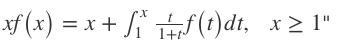
Jag ska lösa följande integralekvation. Jag har tidigare dock endast löst sånna ekvationer mellan 0 och x, inte 1 och x. Jag är med på att jag ska derivera båda leden, men hur blir det när jag deriverar HL? Om det hade stått 0 istället för 1 hade det ju blivit men hur blir det nu med 1?
Den primitiva funktionen för integralen kan vi kalla F och då står det x + F(x) - F(1). Deriverar man det så är derivatan av F(1) noll, för det är en konstant.