Integralekvation med e^y (Endimensionell analys)
"Sök alla kontinuerliga lösningar y till
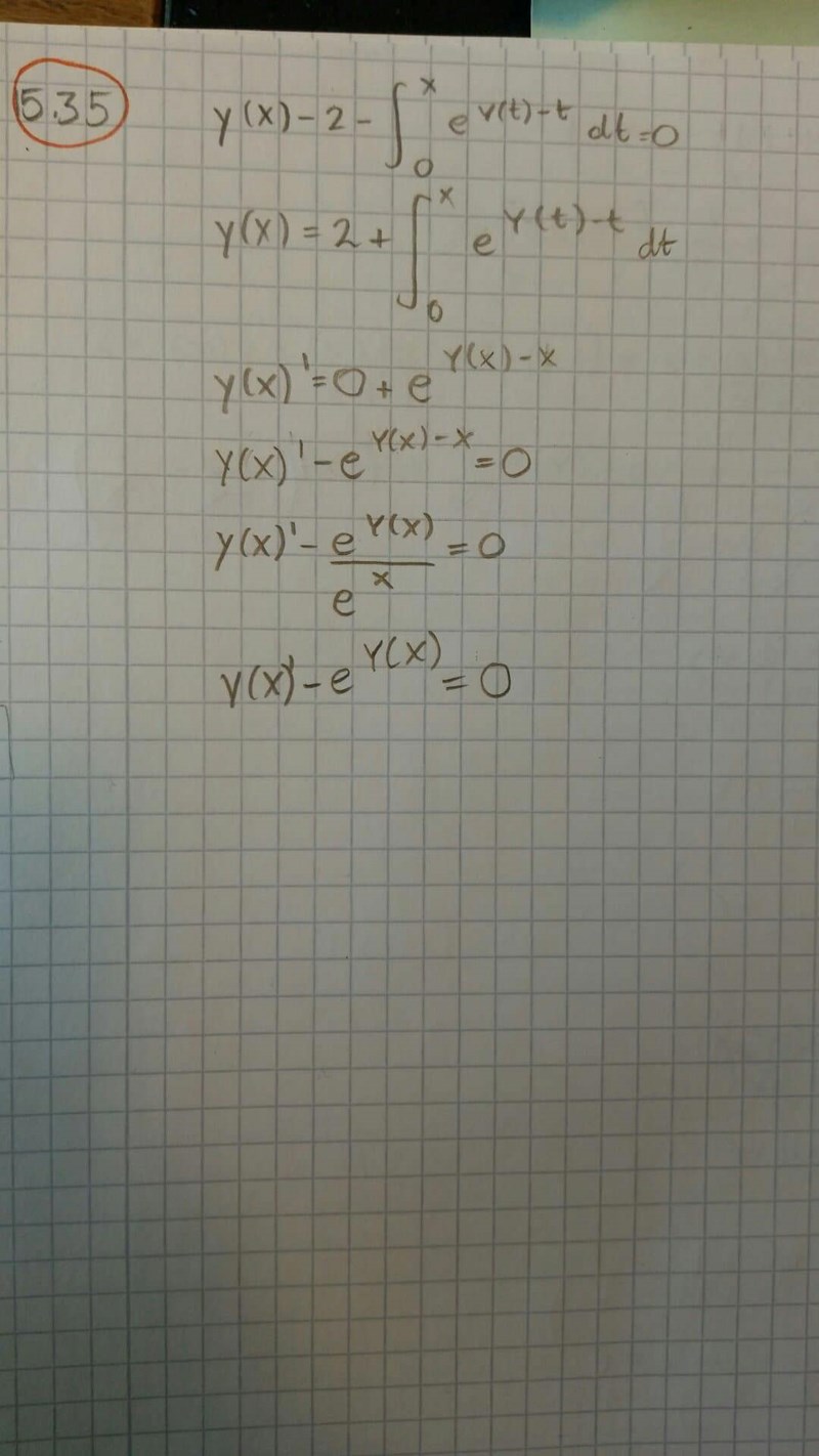
Se bifogad bild för min uträkning

Problemet jag har är att få fram den integrerande faktorn.
Integrerande faktor fungerar enbart på linjära funktioner av första ordningen. Förhoppningsvis kan du med dina kunskaper från förra tråden inse att denna ekvation inte är linjär. :-)
Integrerande faktor fungerar inte här. Men ser du någon annan metod som kan vara lämplig? Ekvationen är nämligen...
EDIT: Dessutom händer något märkligt i ditt sista steg. Vart försvinner ?
Den är separabel, eftersom jag kan skriva om den till
kanske?? :D Eller x ska vara på andra sidan
.
Jag glömde bort att om jag ska förkorta bort 1/e^x från leden så måste jag ju också göra det från y(x)'-termen. Tack så mycket, jag ska försöka lösa den ekvation jag fått fram nu :D
Nu ringer varningsklockorna igen!!

Jag har ju inte ens skrivit vad svaret blir, det ska bli:
därför känns det misstänksamt att 1) jag får min allmänna lösning till bara y=x+c och att 2) mitt begynnelsevilkor börja likna nåt konstigt. Jag vet heller inte riktigt hur jag ska göra med y(0)-e^y(0)
Jag ringar in vart felet uppkommer. Se om du kan klura ut vad som gått snett.

Jag ångrar inlägget :-)