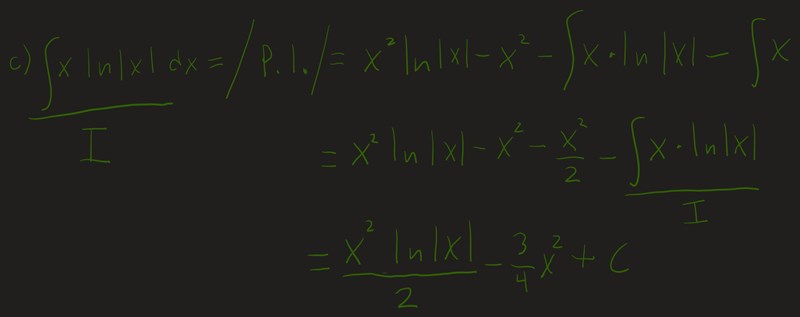
Integralen (x*ln|x|dx), var gör jag fel?
Såhär har jag räknat:

Men facit står att det blir:

Jag hittar inte var jag gjort fel tyvärr
Edit: märkte att jag glömt skriva ut dx på alla ställen, men det är ju samma problem ändå
Du behöver nog kolla på receptet för partiell integration igen, och skriva ut lite fler steg. Vad försöker du göra?
Micimacko skrev:Du behöver nog kolla på receptet för partiell integration igen, och skriva ut lite fler steg. Vad försöker du göra?
låt f(x) = ln|x|, g(x) = x
F(x) = x*ln|x| - x + C
g'(x) = 1
integralen av f(x)*g(x)dx = F(x)*g(x) - integralen av F(x)*g'(x)dx
Skrev till ett steg utifall det hjälpte:

Jaha, du gör så. Det naturliga hade varit att välja f och g tvärtom 😉 Men det som förstör ditt svar är en missad parentes

Micimacko skrev:Jaha, du gör så. Det naturliga hade varit att välja f och g tvärtom 😉 Men det som förstör ditt svar är en missad parentes
Justja!! Tack!
