2
svar
98
visningar
Minaesman behöver inte mer hjälp
Integraler
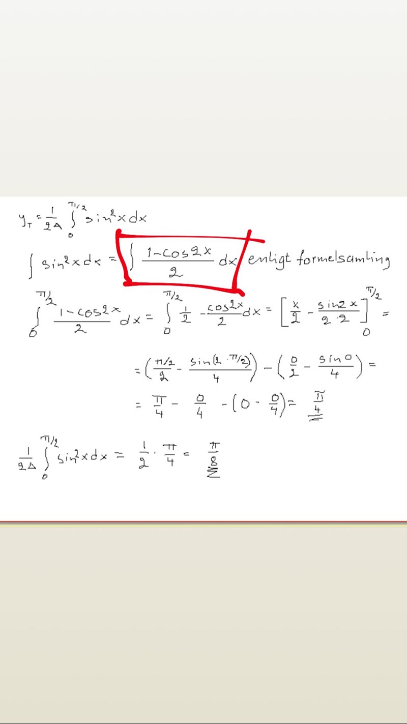
Hur får han (sin x)^2= (1-cos2x)/2 ? Jag trodde att Cos(2x) och (Cosx)^2 inte va samma sak? För isåfall borde han väll få enligt trigettan 1-(cosx)^2 ? Eller hur gjorde han?


Det är en allmän formel:
Man kan härleda den från dubbelvinkelformeln för cosinus:
Med hjälp av trigonometriska ettan kan skrivas:
Löser man ut för ur detta får man:
Tack så mycket! :)