3
svar
75
visningar
maruschka behöver inte mer hjälp
Integraler
Hej behöver hjälp med en följande fråga

Min kompis hjälpte mig med denna fråga.. dock så förstår jag inte riktigt hur han har gått tillväga.
Skulle någon kunna förklara steg för steg hur man löser denna uppgift.
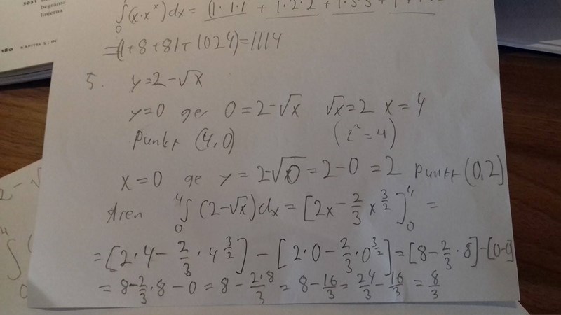
Jag antar att utifrån hans uträkning att koordinataxlarna är (4,0) och (0,2) och att arean är 8/3 ???
Är frågan
"beräkna arean av området som innesluts av kurvan y = f(x) och koordinataxlarna"
eller något i den stilen?
Vad av din kompis lösning är det som är oklar?

Här är frågan, ber om ursäkt för det.
Men är svaret (4,0) och (0,2) rätt? Och att arean är 8/3??
Skärningspunkterna med koordinataxlarna är (4,0) samt (0,2) och den innesluten arean är 8/3, så ja.