integraler
Hej,
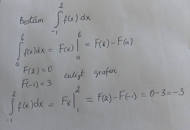
Uppgiften låter så här. Figuren visar grafen till funktion F. Vi vet att f(x)=F(x).
Grafen 

här är min lösning. Fråga. Kan svaret bli -3 ( minus tre). Det känns att 3 är rätt. Tack!
Tråd flyttad från Åk 9 till Matte 3. /Smutstvätt, moderator
Integraler kan få negativa svar - japp. Eftersom man bara summerar värdet av en funktion för en massa ställen på kurvan kan det hända att man summerar mer negativa delar än positiva, och då kommer integralen visa en negativ siffra. Av den anledningen kan det ibland bli aktuellt att dela upp "positiva områden" och "negativa områden" ifall man är ute efter "ytan", eftersom de annars hade kvittat ut varandra.
Något känns lite underligt i din uppställning här. Antingen är det den primitiva funktionen du ser i grafen - isåfall är dina uträkningar rätt. Eller så är f(x) = F(x), och man menar att den har sig själv som primitiv funktion - och isåfall stämmer det definitivt inte in på den där kurvan.
Jag tror att F(x) som grafen visar är primitiv funktion till f(x) som integralen avser, och då är anledningen till att det känns underligt med ett negativt svar att det inte är f(x) du ser i grafen.
Tack för dina förklaringar! f(x)=F`(x)! Så var det!
Hur lyder uppgiften egentligen? Det står ingen fråga i ditt ursprungliga inlägg.