Rita!
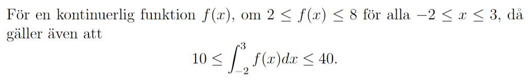
- Försök att rita grafen till en funktion f(x) som ger ett så litet värde på integralen som möjligt, givet begränsningen av funktionsvärdet. Hur litet blir då integralens värde?
- Försök att rita grafen till en funktion f(x) som ger ett så stort värde på integralen som möjligt, givet begränsningen av funktionsvärdet. Hur stort böir då integralens värde?
Hmm okej, men är ändå inte med på vad jag ska rita?
Funktionens värde ska vara mellan eller lika med 2 och 8 då x är mellan eller lika med -2 och 3?
MammaMia skrev:Hmm okej, men är ändå inte med på vad jag ska rita?
Funktionens värde ska vara mellan eller lika med 2 och 8 då x är mellan eller lika med -2 och 3?
Just det! integralens värde blir som minst om funktionen hela tiden har lägsta tillåtna värde, d v s ... och som störst om funktionen hela tiden har högsta möjliga värde, d v s ...
Det som förvirrar mig är just funktionen? Jag kan väl inte bara skriva ex. ?
MammaMia skrev:Det som förvirrar mig är just funktionen? Jag kan väl inte bara skriva ex. ?
Integranden blir 2, helt enkelt (men det är egentligen onödigt att integrera just den här funkitonen, det är enkelt att rökna ut det ändå).
MammaMia skrev:Det som förvirrar mig är just funktionen? Jag kan väl inte bara skriva ex. ?
Du behöver egentligen inte skriva något alls.
Det räcker att du ritar två figurer som jag skrev i #2.
Knepet är sedan att inse hur integralens värde förhåller sig till de figurer du ritat.
Känner till sambandet mellan en integrals värde och arean under en funktionsgraf?
Det är det jag inte ser? Sambandet är att integralen visar arean?
Vilken area blir det om f(x) = 2 i hela intervallet? Vilken area blir det om f(x) = 8 i hela intervallet?
Mina uträkningar ger f(x)=2 = 2,5. Har jag gjort rätt då?
MammaMia skrev:Mina uträkningar ger f(x)=2 = 2,5. Har jag gjort rätt då?
Nej. Visa steg för steg hur du har räknat, så kan vi hjälpa dig att hitta var det har blivit fel. Rita också upp funktionen och lägg upp bilden här.
Nej det jag gjorde ser jag själv är helt fel så det är ingen idé. Förlåt att jag inte fattar men har inte sett någon liknande uppgift innan så har ingen aning om hur man ska göra.
Om jag skulle byta ut f(x) mot 2, ska jag göra något sedan då med -2 och 3 som är i funktionen?
Rita upp funktionen f(x) = 2, markera integrationsgränserna x = -2 och 3, lägg upp bilden här. Vad är det för en figur du har ritat upp? Hur stpr area har den? Kan du beräkna arean utan att använda dig av integral? Kan du beräkna arean genom att integrera?
Upprepa detta för integranden f(x) = 8 med samma integrationsgränser.
Tips: Om är den konstanta funktionen 2 (dvs om ) så blir integralen och funktionsgrafen blr en horisontell linje på höjden .

Tack snälla för erat tålamod. Jag tror jag förstår nu. Men av det jag ritat upp nu då så blir alltså 5*2?
Ja, du har nu bestämt arean under grafen till f(x) = 2.
Beräkna nu integralens värde då f(x) = 2.
====
Gör sedan samma sak då f(x) är så stor som möjligt.
