4
svar
64
visningar
Integraler
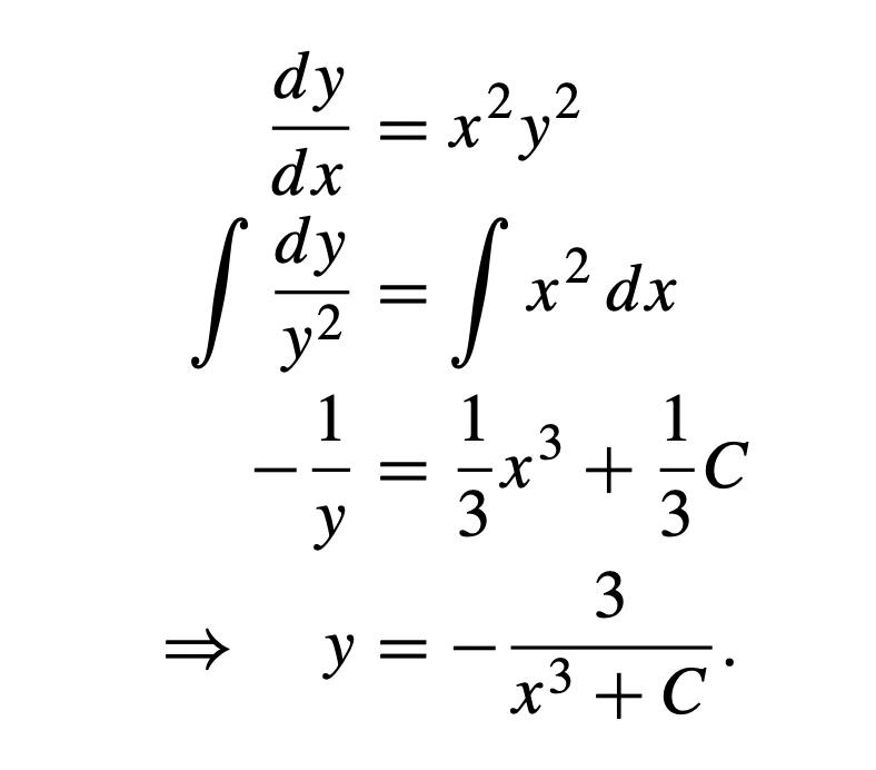
lös . Jag hänger med att jag ska dela upp så jag får men tydligen ska det bli c/3, vilket jag inte förstår varför....
Det är svårt att hänga med i vad som är frågan och svaret. Kan du ta en bild?
C och c/3 är typ samma sak om c är en godtycklig konstant.
här förstår jag inte varför dem får C/3. Det borde ju bara bli C
Ja om du bara räknar på får man bara ett c. Sen tror jag den som har räknat sett att det vore trevligt med samma nämnare och brutit ut 1/3 ur c för det är fortfarande bara någon konstant.
Det är iaf något du kan hoppa över. Tolka facit är inte vad mattekurser går ut på 😉
