1
svar
62
visningar
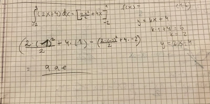
Du kommer fram till svaret, men det är ett krångligt sätt att göra det på. Kom ihåg att arean under grafen motsvarar F(x). :)

