1
svar
240
visningar
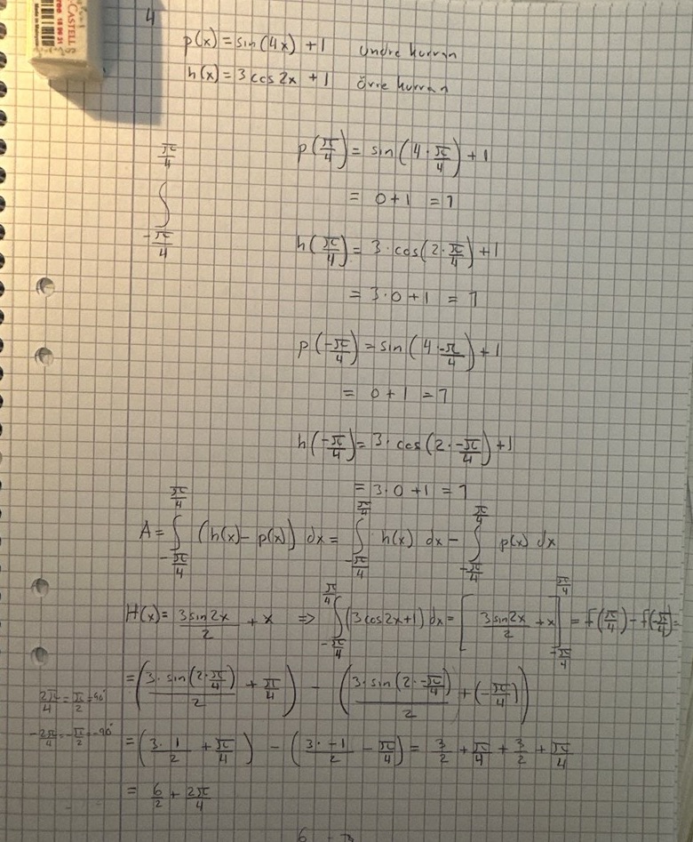
arean mellan kurvor
Hejsan igen
håller på med gamla tentafrågor. Ville bara kolla om mina beräkningar stämmer.



Svaret är rätt, men jag har inte detaljgranskat räkningarna.
Jag ser dock F(π/4)-F(-π/4). Jag förstår vad du menar (du har memorerat en formel från läroboken), men det skall stå H(π/4)-H(-π/4) enl. dina beteckningar.
Dock, du spar mycket räkningar genom att konstatera att
h(x)-p(x)=3cos(2x)-sin(4x)
som har prim.fkn.
1/6sin(2x)+1/4cos(4x)
Kortare och enklare räkningar = färre chanser till fel.