7 svar
199 visningar
plommonjuice87 behöver inte mer hjälp
plommonjuice87 768 – Fd. Medlem
Postad: 6 mar 2023 11:49

Integraler matte 4

hej 

man behöver ju funktionen för att kunna räkna ut integralen. Men det jag undrar över och har svårt för är. Hur får jag fram funktionen från dessa grafer?

Yngve 42856
Postad: 6 mar 2023 11:53

Är det 3125 du undrar över?

plommonjuice87 768 – Fd. Medlem
Postad: 6 mar 2023 11:56

Ja framförallt.

SeriousCephalopod 2798
Postad: 6 mar 2023 11:57 Redigerad: 6 mar 2023 11:58

På den hackiga i 3125?

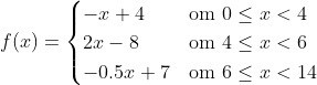
För en styckvis rät funktion, dvs punkter förbundna med streck, så finns det ingen anledning att skriva funktionen på algebraisk form då det i regel är mer komplicerat än att jobba direkt med grafen.

Du ska bara förstå att integralen motsvarar en area under den grafen och använda problemlösning (systematisk testning) för att finna det b som ger att arean under stycket blir 18.

För referens så är grafens funktion

(tror jag)

men poängen är att en sådan funktion måste definieras styckvis på olika intervall och därför att klumpig att jobba med algebraiskt.

Yngve 42856
Postad: 6 mar 2023 12:04
Klicka för grafisk lösning

Du kan lösa uppgiften genom att räkna rutor.

Börja då från x = 2, rör dig åt höger och räkna hur mångavrutor som får plats mellan grafen och x-axeln.

Varje ruta har storleken 2•2 = 4 a.e. så när du har fått ihop 4,5 hela rutor så har du nått det x-värde som motsvarar b.

plommonjuice87 768 – Fd. Medlem
Postad: 6 mar 2023 13:15
Yngve skrev:
Klicka för grafisk lösning

Du kan lösa uppgiften genom att räkna rutor.

Börja då från x = 2, rör dig åt höger och räkna hur mångavrutor som får plats mellan grafen och x-axeln.

Varje ruta har storleken 2•2 = 4 a.e. så när du har fått ihop 4,5 hela rutor så har du nått det x-värde som motsvarar b.

Varför ska man börja räkna från när x = 2.  Förstår inte riktigt heller varför vi behöver 4,5 rutor osv. Eller hur man läser av rutorna…

MangeRingh 213
Postad: 6 mar 2023 13:19 Redigerad: 6 mar 2023 13:20

Ekvationen är ju en integral från x = 2 till x = b. Integralen (ytan under kurvan) däremellan ska bli 18. Eftersom varje ruta har ytan 2*2 = 4 så innebär det att b är det x-värde dår du summerat ihop till 4,5 rutor (= arean 18) från x = 2.

plommonjuice87 768 – Fd. Medlem
Postad: 6 mar 2023 14:20

Ahaaaa. Okej tack så mycket! 

Svara
Close