9 svar
738 visningar
tapetklister behöver inte mer hjälp
tapetklister 124 – Fd. Medlem
Postad: 13 jan 2021 13:34

Integraler - när ska gränserna ändras?

Hej,

När en integral beräknas med övre och under gränser och jag utför ett variabelbyte ska gränserna alltid ändras då?

Hoppas min fråga framgår.

Truppeduppe 140
Postad: 13 jan 2021 13:48

Svar: Ja!

Om den övre gränsen är x=b och den nedre gränsen är x=b och man utför variabelbytet u=f(x), så blir den nya övre gränsen u=f(b) och den nya nedre gränsen u=f(a).

Moffen 1877
Postad: 13 jan 2021 13:48 Redigerad: 13 jan 2021 13:49

Hej!

När man skriver ner en integral så är det underförstått att gränserna avses med avseende på variabeln vi integrerar med avseende på.

Exempelvis så innebär

abfxdx=x=ax=bfxdx\displaystyle \int_{a}^{b}f\left(x\right)dx=\int_{x=a}^{x=b}f\left(x\right)dx.

Om du gör ett variabelbyte exempelvis x=7tx=7t, då blir dina gränser för tt lika med a=7tt=a7a=7t \iff t=\frac{a}{7}, och t=b7t=\frac{b}{7}. De nya gränserna blir därför 

7·t=a7t=b7f7tdt\displaystyle 7\cdot\int_{t=\frac{a}{7}}^{t=\frac{b}{7}}f\left(7t\right)dt.

tapetklister 124 – Fd. Medlem
Postad: 13 jan 2021 13:50

Jag hänger med, tack för båda svaren.

Qetsiyah 6616
Postad: 13 jan 2021 13:55 Redigerad: 13 jan 2021 13:56

Liten kommentar: Det kan också hända att variabelbytet du väljer tillsammans med de gamla randvillkoren ger nya randvillkor men som är oförändrade, men för att veta om så är fallet behöver du ändå gå igenom samma procedur.

tapetklister 124 – Fd. Medlem
Postad: 13 jan 2021 13:57

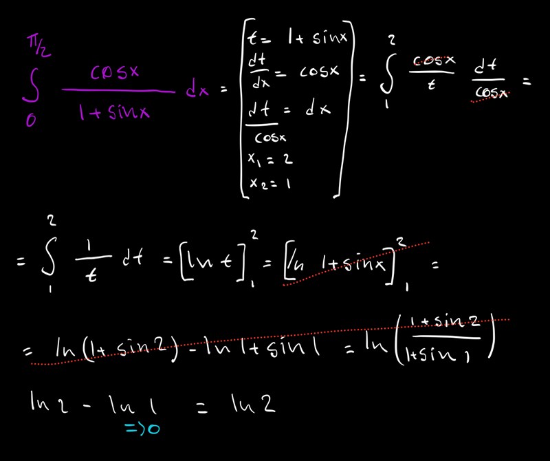
Om gränserna ändras här stämmer inte uppgiften eller har jag räknat fel?

tapetklister 124 – Fd. Medlem
Postad: 13 jan 2021 14:12

ser nu att jag har ändrat tillbaka till variabeln x men gränserna kvarstår..

Svaret som jag får då bör bli

tapetklister 124 – Fd. Medlem
Postad: 13 jan 2021 14:12
tapetklister skrev:

ser nu att jag har ändrat tillbaka till variabeln x men gränserna kvarstår..

Svaret som jag får då bör bli

Tänker mig att detta inte är en slump..

Moffen 1877
Postad: 13 jan 2021 14:15 Redigerad: 13 jan 2021 14:17

Kanske borde gjort en ny tråd för den, men du har i stort sett två alternativ.

Första är att ha kvar gränserna som 

x=0x=π2ftdt\displaystyle \int_{x=0}^{x=\frac{\pi}{2}}f\left(t\right)dt för ft=1tf\left(t\right)=\frac{1}{t} och sen byta tillbaka till t=1+sinxt=1+\sin{x}.

Det andra är att du inte byter tillbaka till t=1+sinxt=1+\sin{x} och då beräknar du integralen med gränserna för tt

Nu har du blandat och beräknat värdet av integralen med gränserna för tt, men bytt tillbaka till xx. Så du måste välja ett av sätten, antingen behåller du integralen uttryckt med tt och använder gränserna för tt, eller så byter du tillbaka till xx och använder gränserna för xx.

EDIT: Jag tycker att när man lär sig variabelsubstitution så är det en bra idé att försöka att alltid skriva dit, åtminstone för den undre gränsen, vilken variabel som gränserna avser.

tapetklister 124 – Fd. Medlem
Postad: 13 jan 2021 14:17

Jag förstår dig. Håller med att det blev lite väl i tråden.

Tack så mycket.

Svara
Close