Integraler - partiell integrering
Hej!
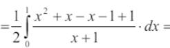
Jag förstår verkligen inte lösningen till denna uppgift.
Där lösningen är:

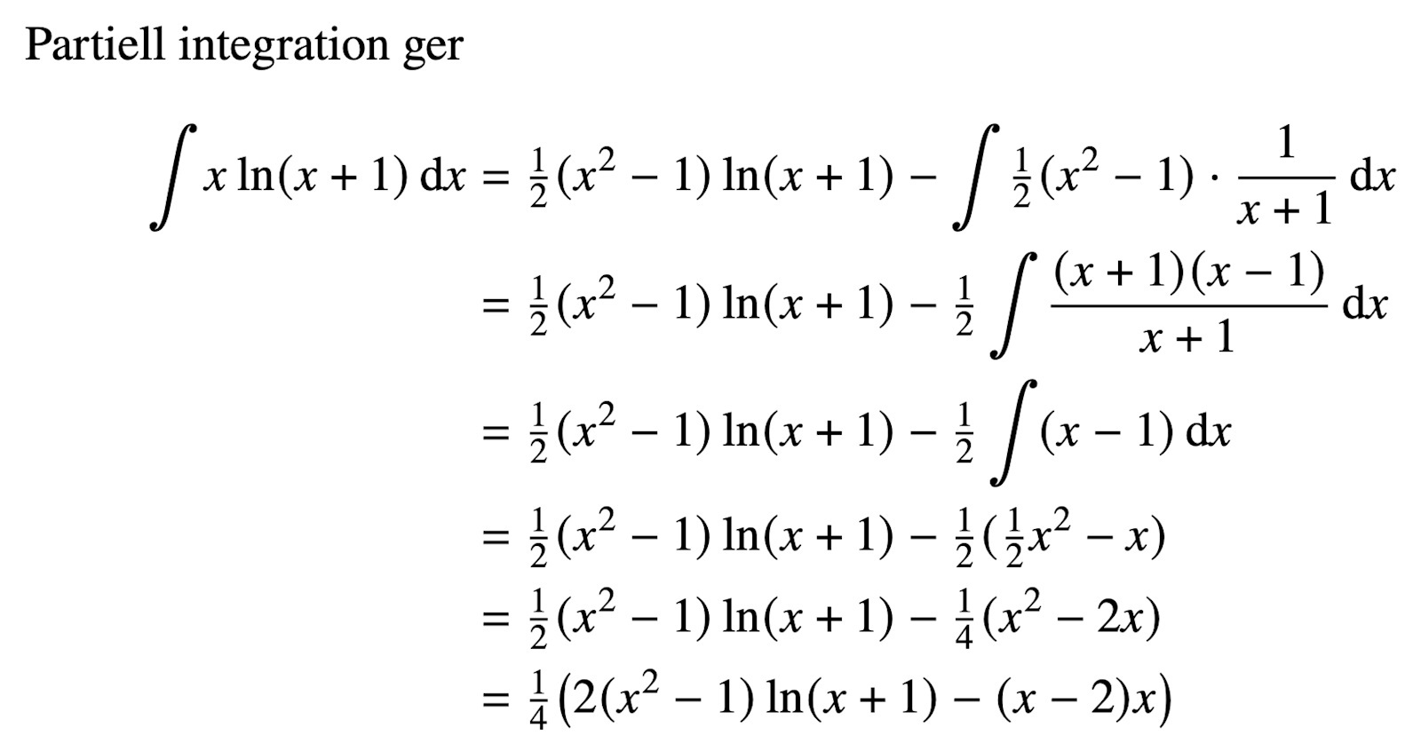
Jag har testat flera andra sätt men kommer fram till fel svar så jag antar att detta sätt är det enda som fungerar men förstår inte vad professorn gör när han har skrivit + x - x och + 1 - 1. Inget därefter verkar rimligt...
Jag skulle uppskatta svar så snart som möjligt, tack på förhand!
Är det näst sista raden du fastnar på?
De 2 sista raderna ser rätt straight-forward ut. I sista steget på näst sista raden delar han upp bråket i 3 olika bråk. Därefter förenklar han (t.ex x2+x=x(x+1)).
Eller är det den första substitutionen som du tycker är svår?
Det här steget
Asså kan man bara lägga till grejer hur som helst? 🤣
#älskamat skrev:Det här steget
Asså kan man bara lägga till grejer hur som helst? 🤣
Du kan alltid addera (eller subrahera) 0.
Okej men hur fick han (i den sista raden)
Bryter ut x ur x^2+x = x(x+1) och förkortar bort x+1 (kvar x)
Men, här är en mkt snyggare (IMO) lösning. Noterar hur vi tar en "extra konstant" med i den första primitiva fkn i den partiella integrationen som gör allt enklare.
Vi tar alltså 1/2(x^2-1) istf. 1/2 x^2;
(Jag har här antagit att x>-1 för att slippa abs-tkn på ln och skippat integrationskonstanten (vilken är onödig vid insättning av gränser)

Trinity2 skrev:Bryter ut x ur x^2+x = x(x+1) och förkortar bort x+1 (kvar x)
Men, här är en mkt snyggare (IMO) lösning. Noterar hur vi tar en "extra konstant" med i den första primitiva fkn i den partiella integrationen som gör allt enklare.
Vi tar alltså 1/2(x^2-1) istf. 1/2 x^2;
(Jag har här antagit att x>-1 för att slippa abs-tkn på ln och skippat integrationskonstanten (vilken är onödig vid insättning av gränser)
Förlåt, jag har totalt glömt bort att jag ställde en fråga här. Har skrivit tentan nu :)
Tack så mycket för hjälpen!! <3

