Integraler (svår)
Hej. Kan den här uppgiften lösas med enbart ma4 kunskaper? Hur tar man fram den primitiva funktionen av ln(x)?
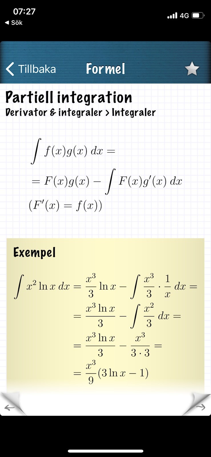
Med partiell integration. Har ni gått igenom det så kan du lösa den. Dela upp i 2 först.
Skriv om funktionen som x + 1×lnx om du ska integrera den
Kör primitiv på 1 och derivera ln x
Det är nog tänkt att man skall "gissa" sig fram genom att använda kedjeregeln/produkregeln baklänges. Detta är ganska vanligt i matte 4.
D(ln(x))=1/x men om vi har produkregeln i huvudet så blir det enklare.
Vår primitiva funktion måste bestå av ln(x) av något slag så det måste vara en produkt. Derivatan av x är ju 1 och av produkregeln vet vi att om fås ...
Kommer du vidare?
Jag förstår inte hur jag ska kunna få fram en primitiv funktion av ln(x). Kan man tänka att ln(x) är samma sak som 1/x?
Nja det kan du inte
Intergralen av ln(x) blir x ln (x)- x
Detta kan du få fram med hjälp av partiell integration
Ja men det här ingår inte i ma4 så hur ska man testa sig fram?
Vår primitiva måste innehålla ln(x) och är en produkt eftersom att detivatan av ln(x) är 1/x det skall vara en produkt som kan producera ln(x).
Vi vet att derivatan av x är 1 och då provar vi xln(x), vad får du då?
om vi testar med att skriva den primitiva funktionen som x*ln(x)-x och deriverar enligt produktregeln då kommer vi att få tillbaka ln(x)
Prova nu att integrera f(x) i uppgiften. Det är summan av två termer vilket ger att intrgrslen blir en summa av två integraler, du integrera alltså termvis och ln(x) har du ju redan ett förslag för.
