integralsubstution
Hej jag har fastnat på denna integral. Förstår att man ska använda partiell integration och att man behöver använda sig av substutition. Däremot förstår jag inte när jag ska använda substutionen och vilket värde x² eller 3^ som jag ska substutiera?. Vore tacksam för en lösning.
Det där uttrycket ser lite trasigt ut. Kan du visa hela uppgiften som den ser ut från början?
.jpg?width=800&upscale=false)
Detta var frågan, under bedömningen står svaret
Skaft skrev:Det där uttrycket ser lite trasigt ut. Kan du visa hela uppgiften som den ser ut från början?
till frågan stod det "beräkna den allmänna lösningen för följande integral
Kan du komma vidare med en partiell integration?
Aha! För att en partiell integration ska vara hjälpsam så bör någon av faktorerna kunna deriveras ner till 1 eller en annan konstant. På så sätt blir det i slutändan bara en funktion att bry sig om och integrera, istället för en produkt av två. Vilken av och kan deriveras ner till en konstant? Och vad är den primitiva funktionen av den andra?
Skaft skrev:Aha! För att en partiell integration ska vara hjälpsam så bör någon av faktorerna kunna deriveras ner till 1 eller en annan konstant. På så sätt blir det i slutändan bara en funktion att bry sig om och integrera, istället för en produkt av två. Vilken av och kan deriveras ner till en konstant? Och vad är den primitiva funktionen av den andra?
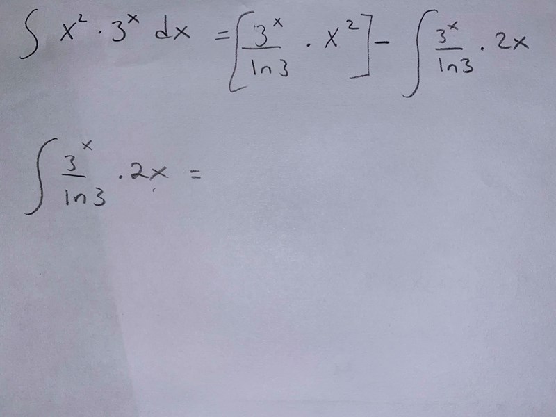
Jag tror att x² kan deriveras till en konstant och primitiva funktionen av 3^x blir (3^x) /ln 3
Din primitiva funktion stämmer och det är korrekt att det är x^2 som ska deriveras i två steg.
Jroth skrev:Din primitiva funktion stämmer och det är korrekt att det är x^2 som ska deriveras i två steg.

Jättebra, fortsätt :)
Bara ett steg (och en integral kvar)
det är nu jag har fastnat vet inte riktigt hur jag ska integrera 3^x /ln3
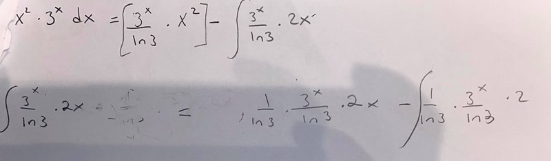
är bara en konstant, så det blir samma som med tidigare, dvs
eli321be skrev:det är nu jag har fastnat vet inte riktigt hur jag ska integrera 3^x /ln3
Skriv det som:
Det blir bara en faktor till av när du integrerar.
Jroth skrev:är bara en konstant, så det blir samma som med tidigare, dvs
om ln3 bara är en faktor varför blir den upphöjd till 2 ?
tomast80 skrev:eli321be skrev:det är nu jag har fastnat vet inte riktigt hur jag ska integrera 3^x /ln3
Skriv det som:
Det blir bara en faktor till av när du integrerar.

Är det såhär du menar?
eli321be skrev:Jroth skrev:är bara en konstant, så det blir samma som med tidigare, dvs
om ln3 bara är en faktor varför blir den upphöjd till 2 ?
Det hoppar ut en ny varje gång du integrerar , därför blir den upphöjd till två (och småningom upphöjd till 3)
Nu har du bara den sista integralen kvar, det är bara att integrera igen (och så hoppar det ut en till