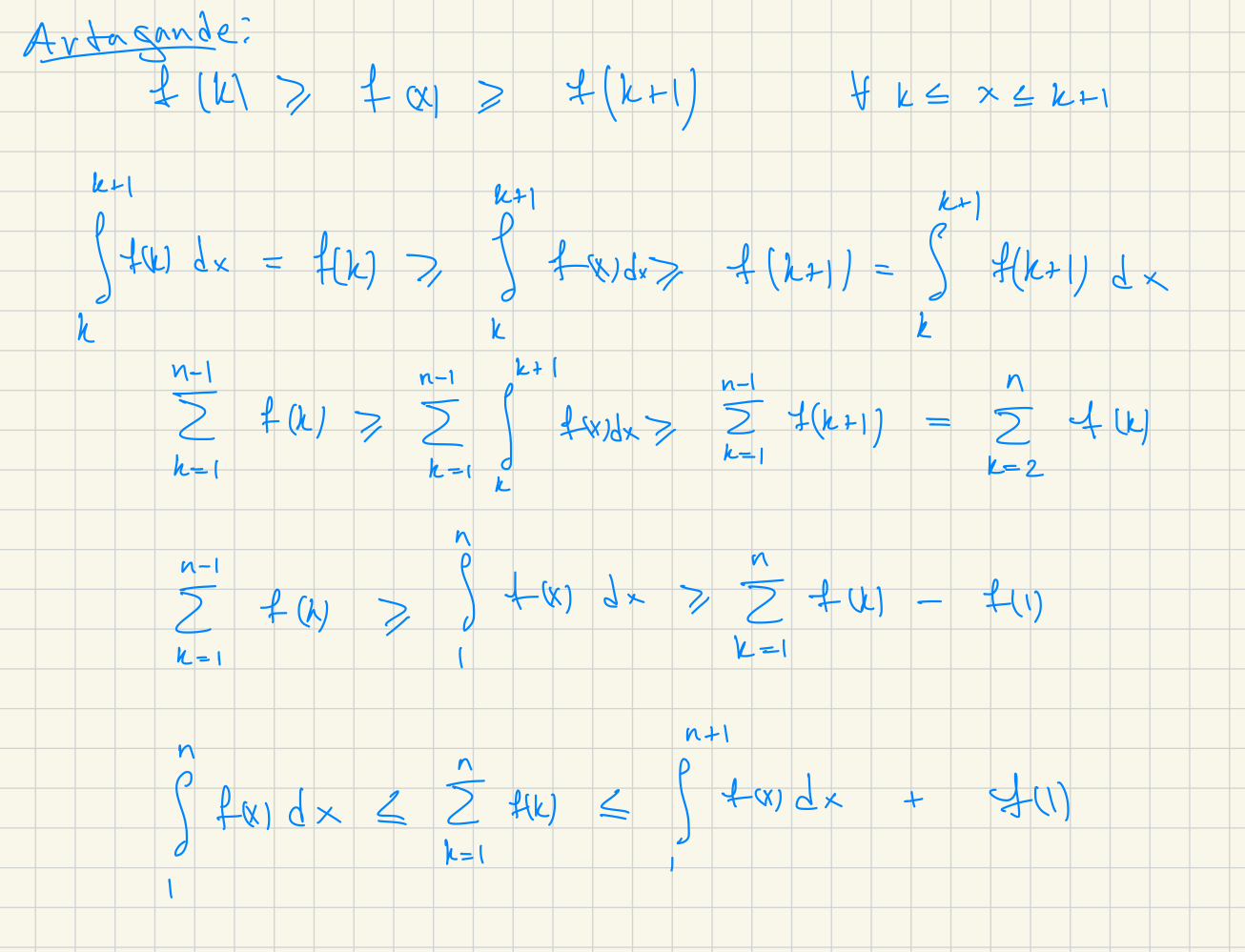
Integraluppskattning
När man ska stänga in en summaserie mellan två integraler görs följande ansats
men jag förstår inte hur man vet att den sista olikheten håller?
Tips: Prova att rita upp en valfri funktion som till exempel f(x)=x^2 och se om det stämmer.
Jag har ritat många men jag förstår inte hur den utökningen av integralen man gör väger upp för det felet som är mellan serien och integralen.
Det är lite klurigt att rita. Rita först en funktion f(x)=x^2. Rita sedan g(x)=(x-1)^2, d.v.s. samma funktion förskjuten ett steg. Då ser du att summan precis får plats mellan f(x) och g(x). Se bild nedan där summan är orange.
På denna bild ser det ut som att olikheten längst ned på bilden gäller (se de lila rektanglarna över kurvan), men egentligen ska det vara tvärt om! Kan någon rita en bild ungefär som jag men där det syns tydligare?
Din ursprungsolikhet gäller bara för växande funktioner. Olikheten du konstruerat där gäller för avtagande funktioner, precis som du ritat.
Men i uppgiften som ansatsen högst upp gjordes var funktionen man syftade på
1/(2x-1) som ju är avtagande!
Här är uppgiften(uppg.8)
Okej, jag tänkte nog för fort.
Här är facit

Uppskattar alla svar, känner verkligen mig osäker på detta inför tentan!
Såhär kan du härleda till ett liknande uttryck som borde fungera lika bra.
Den termen försvinner ändå sen i gränsen.
Stort tack! Men jag tror att en bild hade gjort det mer intuitivt för mig!
Anto skrev:Stort tack! Men jag tror att en bild hade gjort det mer intuitivt för mig!
Hjälper detta?

Det är denna härledning jag är van vid, men i uppgiftens facit användes olika gränser för integralen. Om du ser på min bild ovan har jag försökt rita en bild som jag tycker ser rimlig ut men ger fel olikhet (tecknet ska va åt andra hållet). Vad är felet i den bilden?
Anto skrev:Det är denna härledning jag är van vid, men i uppgiftens facit användes olika gränser för integralen. Om du ser på min bild ovan har jag försökt rita en bild som jag tycker ser rimlig ut men ger fel olikhet (tecknet ska va åt andra hållet). Vad är felet i den bilden?
Olikheten kan ej vara på andra hållet. Tag f(x)=1/x och n=10
Sum_1^10 f(k) = 2.92897
Int_1^11 f(x) = ln(11) ≈ 2.3979
Något är fel i din olikhet.
Menar du den olikheten jag härledde i min bild eller den i facit?
Anto skrev:Menar du den olikheten jag härledde i min bild eller den i facit?

Okej så om jag tolkar det rätt gör facit till extentan en felaktig ansats men kommer ändå fram till svaret? Jag är lite förvirrad!
Ja, men just för att termen som de missar att ta med ändå försvinner vid gränsen. Om de visste detta eller bara slarvade är högst oklart.
Anto skrev:Okej så om jag tolkar det rätt gör facit till extentan en felaktig ansats men kommer ändå fram till svaret? Jag är lite förvirrad!
Där är så mkt. fel med den lösningen att jag hade bara dragit ett rött streck över allt och satt 0p om jag rättat.