integration (envariabel analys)

Har jag löst frågan rätt?

Ett polynom kan innehålla ett par x upphöjt till pos heltal och lite siffror framför dem, men inga sinus. Om sista raden var menad som ett svar?
Vad betyder pos?
positiv eller?
Är lösningen upp till P(x)= 1+x rätt?
Ser du vad f(0) blir?
Ja, då blir sin(0)=0 . Hur ska jag integrera från 0 till 0? då blir integranden 0.
Ja, och för att räkna ut nästa hade jag tänkt ungefär såhär

jag har gjort ett försök. Är det rätt?

Det är väl egentligen inte fel räknat vad jag hittar nu iaf, men du måste få in någon typ av restterm i uträkningen för att motivera varför.
Jag förstår inte vad du menar med att jag måste få in restterm i uträkningen. Min förståelse av integration är ytlig, blir tacksam om du kan förklara.
Jag menade att jag skulle inte ha kommit undan med att integrera ett taylorpolynom och anta att det inte ställer till med något senare i uträkningen utan att motivera varför det fungerar. Men om din bok eller lärare gör liknande borde det vara ok för dig. Inte säker på hur jag skulle integrera det alls egentligen så hoppas någon annan har bättre koll på det.
Räcker det inte att ansätta:
Jag fick samma svar men förstår ej hur du löst uppgiften pga jag har bara ytlig kunskap av ämnesområdet!
Värfor antog du första påståendet? Hur vet vi att f(x) är linjärt, finns något sats eller liknande som förklarar sambandet? jag föstår inte heller varför vi säger att f(0) är lika med a?
a och b står för f(0) och f'(0), jämför med din formel. Ett polynom av grad 1 ser alltid ut så. Det betyder inte att funktionen är linjär, bara att vi väljer att beskriva den så.
Perfekt förklaring, nu förstår jag att f(0)=a och f'(0)=b för att vi vill få fram ett polynom av grad 1.
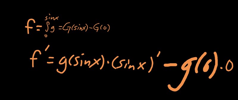
Det enda som jag inte förstår nu är hur vi fick fram f'(x)=g(sinx).cos x
Det var det jag försökte visa i den svarta bilden. Döp din integrand till en bokstav, "låtsasintegrera" den, alltså byt bara till stor bokstav och bestäm att det är någon okänd primitiv, och stoppa in gränserna med insättningsformeln.
Sen har jag deriverat svaret med kedjeregeln.
Du behöver inte göra någon uträkning (integrera) som du har gjort utan ska bara kunna hänvisa till hur analysens huvudsats är. Snyggt gjort ändå!!
The fundamental theorem of calculus förklarar det hela. Stort tack för hjälpen allihopa!