2
svar
139
visningar
Integration på ytstycke
Hej! Har denna uppgiften:
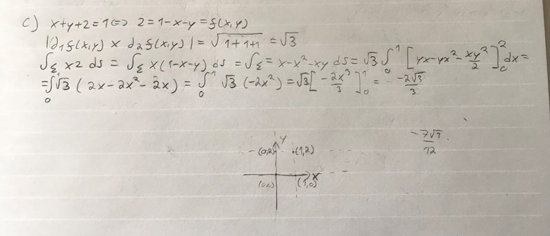
det är c) jag behöver hjälp med. Min uträkning:
Jag får inte rätt svar. Rätt svar är -7*sqrt(3)/12. Vad gör jag för fel?
Har du läst rätt i facit?
Micimacko skrev:Har du läst rätt i facit?
Ja absolut