integrationsgränser
Hej!
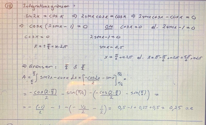
Jag har fastnat på följande fråga, där jag har svårt att bestämma integrationsgränserna, jag har gjort på följande sätt men får fel svar och förstår inte varför min metod är fel, då det känns logiskt att kunna räkna så. Vore tacksam för hjälp



Det ser ut att du dividera med cosx, om så är fallet så får du inte göra så. Det du i princip har gjort är att slakta hälften av lösningarna. Lätt hänt, men där ligger felet. Du får helt enkelt faktorisera, dividera aldrig med en variabel utan faktorisera istället. Sedan dividera du med 0 eftersom cosx råkar vara 0.
Läxan är att du aldrig aldrig bör dividera med något som kan vara 0, faktorisera istället.
varför får man inte göra det, hade man haft 5x*y = x hade man ju kunnat dividerat med x, är det något undantag när det kommer till trigonometri?
här får du inte heller dividera med x eftersom x=0 är en lösning och då kommer du dividera med 0. Observera att den ekvationen har lösningarna dividera du med x hade du bara fått y=1/5.
känner mig förvirrad, trodde alltid att man kunde göra så, känns inte logiskt, så man måste alltid subtrahera om man har en variabel på båda sidor
?
Genom att dividera med cosx eller x i ditt exempel har du förutsatt att de är skilda från 0, nu händer de att det är 0 så du tappar lösningar. Är du med på det?
ja, ungefär så det är alltid så när man har x på båda sidor?
eller någon typ av variabel?
Det du gör är okej så länge det du dividera med inte är 0 och i båda fallen så har vi konstaterat att det du dividera med är 0. Så du bör undvika att dividera med något du inte vet är 0 eller inte. Alternativ så kollar du fallet först. Du kan börja med att låta x=0 och se om det är en lösning eller inte, sedan kan du dividera och förutsätta att x inte är 0 eftersom du då redan kollat fallet då x=0 och då tappar du ikte någon lösning. Detta gäller inte ibland eller beroende på ekvationen, detta gäller allmänt oavsett om det är olikheter eller ekvationer osv.
Då förstår jag! Tusen tack !