1
svar
65
visningar
Stephanie_allmas behöver inte mer hjälp
integrera en till fråga
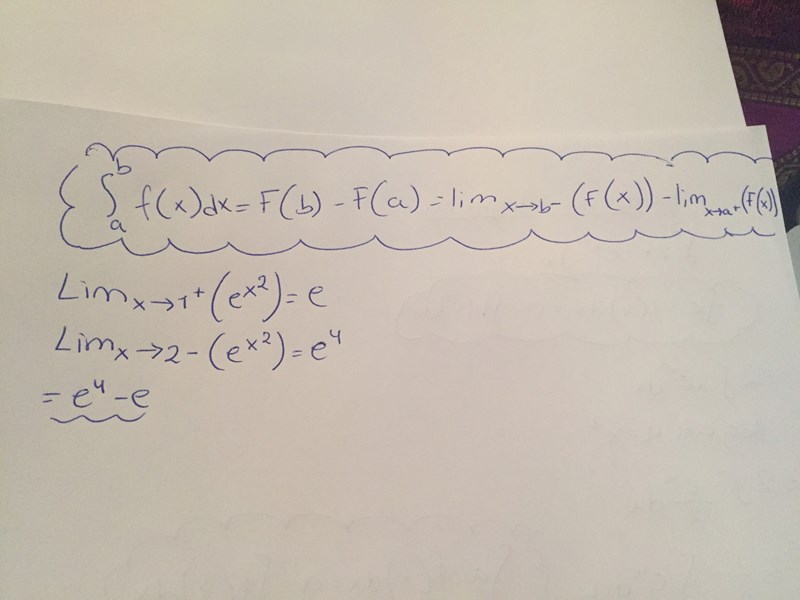
Hej, skall integrera ovan har gjort då här, är det rätt?

