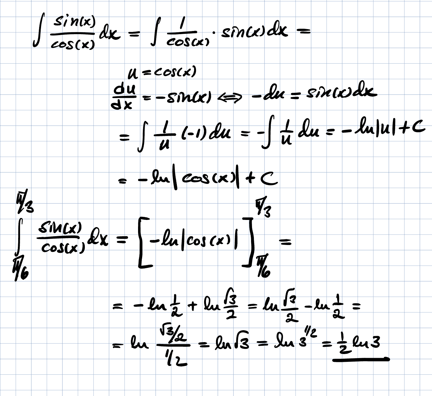
integrera sin x/ cos x
Hejhej på uppgift
försökte jag lösa genom att sinx/cos x =tan x, men det finns ingen formel för primtiv fuktion av tan x. Så jag sökte runt, och många lösningar inkluderar att veta:

problemet är att, jag hittar inte formeln i matte 4 formelblad och minns inte att jag har lärt mig detta. Så jag undrade om det skulle egentligen lösas på ett annat sätt som är mer i matte 4 nivå.
Lite osäker på vad de vill att man ska se. Rent strikt finns det inte någon bra metod i ma4 för att integrera detta.
En tanke är att de kanske vill att man ska känna till derivatan av för någon (deriverbar) funktion . Kedjeregeln ger att derivatan är . Om du noterar så är integrandet nästan exakt på denna form, täljaren är derivatan av nämnaren. Från det följer det att primitiv till är (med absolutbelopp om det är nödvändigt). Däremot är detta inte uppenbart om boken/lektionerna inte gått genom det.
Kanske något så här?
