integrerande faktorn

Hej, jag undrar om hur man kan ta reda på den integrerande faktorn här? Jag förstår att det är sin x eftersom derivatan av y*sinx ger VL men jag vill tillämpa regeln för att ta reda på integrerade faktorn men kommer ingen vart :/

Denna är rätt klurig. Är det taget från en amerikansk bok?
ingen aning, det är NOKflex
I denna uppgift får vi anta att sin(x)>0 annars blir det grötigt.
g(x)=cos(x)/sin(x)
G(x) = -ln(sin(x))=ln(1/sin(x))
Integrerande faktor = e^G(x) = 1/sin(x)
Alltså kan diff.ekv. skrivas
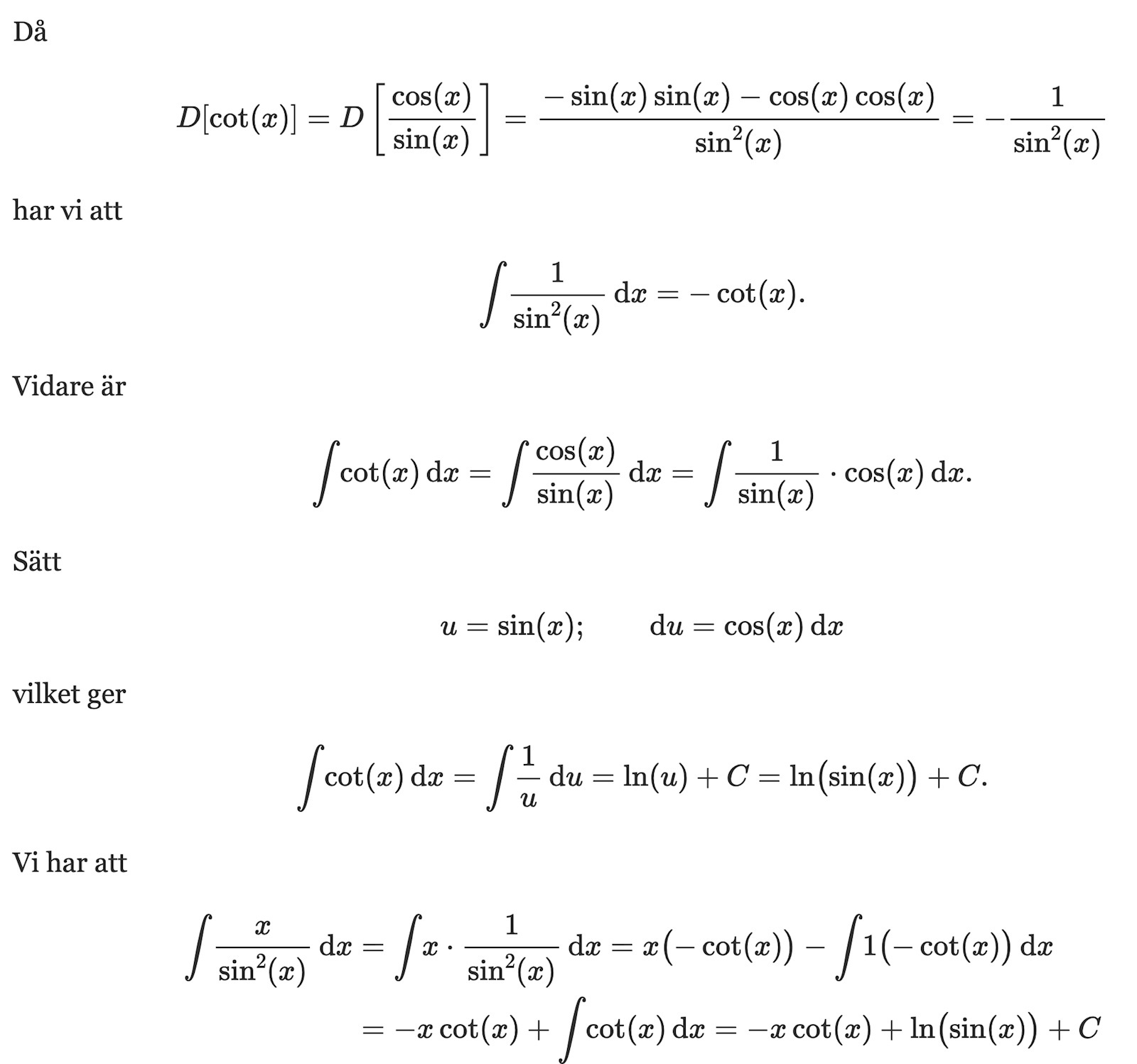
(y * 1/sin(x))' = x/sin(x) * 1/sin(x) = x/sin^2(x)
och
y * 1/sin(x) = INT x/sin^2(x) dx
Frågan är nu om ni löst denna integral förr eller om den ingår i ett exempel.
jag förstår tyvärr ingenting, tror du vi behöver kunna lösa sådana i ma5?
