Integrering
Hejsan!
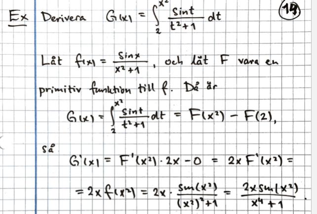
Jag har följande exempel som jag inte förstår. Liksom det är en integral som man ska lösa man uttrycker det som G(x) men funktionen är uttryckt i t. Men sen behåller man samma funkion och bara stoppar in gränsvärden och beräknar. Jag är jätteförvirrad vad som händer här. Vad är det för regel? när använder man den?
Uppskattar en förklaring så jag kan förstå den här metoden.

G(x) är den bestämda integralens värde över intervallet 2 till "x upphöjt med oläsligt" vilket varierar med x, ingenting konstigt med det även om tanken svindlar första gången man ser fenomenet.
Sen är det väl ingen regel utan definitionen av primitiv funktion som ger nästa G(x).
Åsså deriverar vi (och ser att det oläsliga var en tvåa) å sen är det raka rör...
(Jag hade inte själv kommit på att göra så här)
Hej igen!
Uppskattar att du besvarade min fråga. Finns det andra metoder än det här för att lösa ett sådant uppgift?