2
svar
205
visningar
intensitet, partikelhastighet med ljudhastighet?

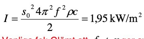
Svaret i A3

Lösningförslag:

1. Man fick en intensitet i 3A men hur ska man få en ny intensitet då de åker med ljudhastigheten förstår inte riktigt.
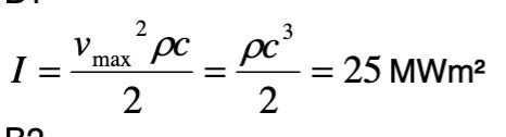
2. Ända formeln vi har fått på föreläsningen är , där Z är akustiska impedansen. Hur har de fått Vmax? (jag förstår att c där är ljudhastigheten)
Det där är helt enkelt en formel som inte finns i formelbladet. Jag antar att du pluggar på KTH och kollar på formelbladet för övning 1.
Du får ju ta med egna anteckningar till tentan. Inför min tenta hade jag skrivit I = V2max * Z / 2
För att besvara din första fråga: I 3A kan du ju räkna ut vad pc (Z) är. Sen stoppar du in det i formeln I = pc3 / 2. Du vet ju vad c är, det är ljudhastigheten