3
svar
120
visningar
Intergraler - bestäm arean

Jag är nästan 100% säker på att jag gjort fel här. Jag förstå mig inte på helheten i att ställa upp funktionen. I boken säger de att man ska ta f(x) - g(x) , då den visar att f(x) är högst upp, nej jag fattar inte, det känns lite ludigt.
Hej.
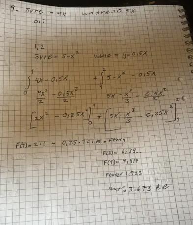
Du har hittat rätt skärningspunkter.
Generellt gäller att arean mellan två grafer är integralen av (övre funktionen minus undre funktionen).
Eftersom det är olika funktioner som är övre och undre i intervallet [0, 1] och [1, 2] så bör du dela upp området I dessa två delar.
- I intervallet [0, 1] är det y = 4x som är övre funktionen och y = 0,5x som är undre funktionen.
- .I intervallet [1, 2] är det y = 5-x2 som är övre funktionen och y = 0,5x som är undre funktionen.
Kommer du vidare då?
Jag ska ta en titt på de imon, men detta va bra info tack.

Blir det här rätt nu :)?