Intervall - mängdlära 2
Hej, jag vet inte hur jag ska räkna ut frågan nedan, har ni tips på youtube klipp man kan läsa om hur man gör, så är jag tacksam. Annars får ni gärna hjälpa mig så gott ni kan.

Vad är det du tycker är svårt?
Är det symbolerna?
Är det skillnaden mellan öppna och stängda intervall?
Är det logiken/hur man ska tänka?
Smutsmunnen skrev:Vad är det du tycker är svårt?
Är det symbolerna?
Är det skillnaden mellan öppna och stängda intervall?
Är det logiken/hur man ska tänka?
Allt, har aldrig sett symbolerna förut. Vad söker jag på för att få fram information om detta? Vad heter det?
Gissningvis finns symbolerna förklarade i din kurslitteratur alternativt har de gåtts igenom på föreläsning.
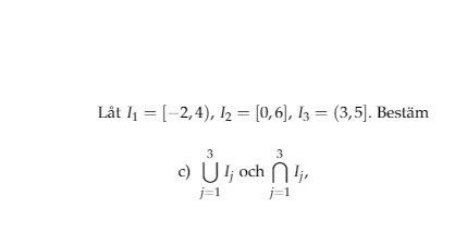
I vilket fall, det uppåtvända U:et från 1 till 3 betyder unionen av I_1,I_2,I_3. Det nedåtvända snittet av samma mängder.
Unionen av två mängder A, B är den mängd som innehåller alla element som ingår i A eller B. Snittet är den mängde som innehåller alla element som ingår i både A och B.
Här har vi tre mängder men principen är den samma, unionen är allt som ingår i någon av de tre, snittet allt som ingår i alla tre.
YT om mängdoperatorer: https://www.youtube.com/watch?v=4TlCToZZ5gA
YT om mängdoperatorer på intervall: https://www.youtube.com/watch?v=vOxDwKOkWPM