Hej.
Du kan lösa uppgiften på flera olika sätt.
Ett snabbt sätt är att använda enhetscirkeln för att snabbt bestämma i vilken/vilka kvadranter vinklarna måste ligga. Det gör att du direkt kan välja bort 4 av de 5 alternativen.
Ett annat är att plocka bort ett par alternativ på en gång pga att intervallet är begränsat. Då har du bara två alternativ kvar och du kan pröva dessa två alternativ.
Ett tredje sätt är att lösa själva ekvationen.
Kändes något av detta lockande?
Hej!
Så svaret kan vara antingen a eller d?
Jag gjorde en cirkel. Vad ska jag göra sedan? Vilka mått ska jag lägga in och vart?

Rita in linjen i din cirkel. Var skär linjen cirkeln?
Smaragdalena skrev:Rita in linjen i din cirkel. Var skär linjen cirkeln?
Hur ska jag veta vart x= 1/ roten ur 2 ligger?
Ska det vara nått sånt?

Det Smaragdalena menar är att du ska rita en vertikal linje vid den horisontella läget , dvs ungefär vid den horisontella koordinaten .
Så här:

(Det är olyckligt att döpa den horisontella axeln till x när symbolen xvanvänds för en vinkel i uppgiften.)
Det hela bygger på att du känner till hur punkterna på enhetscirkeln förhåller sig till den radie som bildar vinkeln x med den positiva delen av den horisontella koordinataxeln.
Koordinaterna för skärningspunkten och cirkeln är nämligen (cos(x), sin(x)).
Aha. Jag håller med till nu. Vad ska jag göra sedan?
Nu skall du ta reda på de båda skärningspunkterna mellan cirkeln och den räta linjen.
Vet ej vad jag gjorde men vart skär punkterna mellan cirkeln och den räta linjen i min skiss?

Jag blandade ihop denna,

Med denna,

Titta på Yngves skiss i inlägg #8. Rita inte mer än nödvändigt, så att du ite blandar ihop olika saker.
ii_noor06 skrev:Aha. Jag håller med till nu. Vad ska jag göra sedan?
Titta på de två blåa prickarna som jag har ringat in med rött.

Är du med på att den övre pricken har koordinaterna och att den nedre pricken har koordinaterna ?
Ja jag är med.
OK bra.
Är du med på att det betyder att ?
Är du vidare med på att det endast är dessa två vinklar i det givna intervallet som uppfyller ekvationen ?
Aha. Ja jag är med.
Bra!
Kan du göra en uppskattning av ungefär hur stora vinklarna och är (i radianer)?
Yngve skrev:Bra!
Kan du göra en uppskattning av ungefär hur stora vinklarna och är (i radianer)?
1,41?
Vilken av och menar du är ungefär 1,41 radianer?
Och kan du uttrycka vinklarna med hjälp av ?
Det räcker om du anger ett intervall, typ "Vinkel är större ön ... men mindre än ...".
Eftersom är ungefär så är ungefär .
Det stämmer inte. Berätta hur du kom fram till det.
Jag tog bara roten ur 2 delat på 1.
Lätt tänkt men fel svar.
ii_noor06 skrev:Jag tog bara roten ur 2 delat på 1.
Lätt tänkt men fel svar.
Jag förstår inte varför du tycker att skulle vara lika med ?
Det gäller att
Det uppfylls av de två vinklarna och son jag har ritat in i bilden i svar #8.
Ur bilden ser du att och att .
Det räcker för att lösa uppgiften.
x1= 1.57
x2= 4.71
Är det rätt?
Nej.
Berätta hur du kommer fram till dessa värden.
Hur kom du fram till att
Det var det Yngve skrev. Eller?

Nej, Yngve skrev att x1 hamnar till vänster om "rakt upp" i enhetscirkeln.
Du vet ju att . Kan du använda detta på något sätt?
Ja tror jag kopplade upp något i min hjärna.
Nått sånt. Funkar det eller har jag fel?
Nej, de värdena stämmer inte alls. Högst upp på cirkeln är cosinusvärdet 1, längst ner är det -1.
Skit samma, jag ger upp med denna uppgiften. Tack för all hjälp!
Det är väl synd. Kan du lösa en liknande men enklare uppgift: För vilken vinkel v gäller ?
Ge inte upp! Här är en ny bild att titta på: Vilken är vinkeln mellan den lila linjen (ovanför x-axeln) och positiva x-axeln? Vilken är vinkeln mellan den gröna linjen (nedanför x-axeln) och positiva x-axeln?
.jpg?width=800&upscale=false)
Lila. 180 - v ?
Grön. 180 + v?
Eller är det inte rätt?
ii_noor06 skrev:Lila. 180 - v ?
Grön. 180 + v?
Eller är det inte rätt?
Om du menar att v är den vinkel jag har markerat i bilden så är det rätt. Men det Smaragdalena efterfrågade var de två vinklar som är markerade med frågetecken i bilden:

Hur räknar man ut det?
Du behöver inte beräkna vinklarna exakt.
Det räcker med att konstatera att
- den ena vinkeln ligger mellan och , dvs mellan och
- den andra vinkeln ligger mellan och , dvs mellan och
Om du inte ser det så vill vi gärna förklara vidare.
Men om du ser det så kanske du kan gå tillbaka till själva uppgiften och se vilket svarsalternativ som borde stämma?

Jag försökte göra en skiss på vad du menade, men vet inte om det är rätt eller inte. Men en fråga där det står 6/4 ska det inte vara 5/4 för det är 5 delar inte 6 delar av cirkeln?
Kategorisering - Tråden flyttad från Alla trådar till Trigonometri. /admin
ii_noor06 skrev:
Jag försökte göra en skiss på vad du menade, men vet inte om det är rätt eller inte. Men en fråga där det står 6/4 ska det inte vara 5/4 för det är 5 delar inte 6 delar av cirkeln?
Nej det stämmer inte.
Är du med på följande samband mellan grader och radianer?
- 0° = 0 radianer
- 90° = pi/2 radianer (kan även skrivas 2pi/4 radianer)
- 180° = pi radianer (kan även skrivas 4pi/4 radianer)
- 270° = 3pi/2 radianer (kan även skrivas 6pi/4 radianer)
- 360° = 2pi radianer
Dvs så här:

Aha ja. Fortsätt?
Bra. Ser du då att vinkeln v1 i bilden är större än pi/2 radianer men mindre än pi radianer?

Ja jag ser att det är mer än 90⁰ och mindre än 180⁰
Bra.
Ser du även att vinkeln v2 i den här bilden är större än pi radianer men mindre än 3pi/2 radianer?

Ja jag ser att vinkel 1 är större än 180⁰ och mindre än 270⁰.
OK bra.
Är du vidare med på att och är de enda lösningarna i intervallet till ekvationen ?
Yngve skrev:OK bra.
Är du vidare med på att och är de enda lösningarna i intervallet till ekvationen ?
Nej, förstod inte. Kan du förklara detta för mig?
Punkten P1 har koordinaterna
Den horisontella koordinaten ör
Det betyder att

Samma sak gäller för
Ja jag förstod lite grann. Fortsätt tack.
För :
Punkten har koordinaterna .
Punktens horisontella koordinat är alltså lika med .
I bilden ser vi att punktens horisontella koordinat är .
Alltså gäller det att .

Fråga 1: Är det något av detta som är oklart, t.ex. hur punkter på enhetscirkeln hänger ihop med sinus- och cosinusvärden av vinklar? Be isåfall oss att förklara, för detta är viktigt.
Fråga 2: Hittar du några andra punkter på cirkeln som även de har den horisontella koordinaten ?
Fråga 1: Ja faktiskt hur hänger punkterna på enhetscirkeln ihop med sinus- och cosinusvärden av vinklarna?
Fråga 2: Så här?

ii_noor06 skrev:Fråga 1: Ja faktiskt hur hänger punkterna på enhetscirkeln ihop med sinus- och cosinusvärden av vinklarna
Hur har du lärt dig definitionerna för sinus respektive cosinus? Använder du definitionerna som bygger på rätvinkliga trianglar?
Nej jag har inte lärt mig definitionerna för sinus respektive cosinus. Behöver man veta?
Jag har i alla falla sökt upp det och nu läser jag om de.
Har du läst Ma1c? Har du läst Ma3?
Smaragdalena skrev:Har du läst Ma1c? Har du läst Ma3?
Jag har läst matte 1c och fick C. Har läst matte 3c och fick F. Såååååååå ja man kan säga att jag ligger efter.
Känner du igen det här från Ma1?
Nej. Det jag fick i matte 1c är bara att kunna sammanfattningen av hela grundskolan. Det var mer likformighet, Ps, bråk, mönster, talföljd, potenser, primtal osv. Hade inget om cos, sin och tan. Det är därför det är svårt för jag förstår inte direkt hur man ska tänka.
Om man läser Ma1c, d v s om man läser på naturvetenskapsprogrammet eller teknikprogrammet, så ingår det trigonometri, eftersom man behöver det för att kunna läsa Fy1-kursen.







Jag tänkte att jag hade det fast jag glömde med som du ser på bilderna så är det som jag sa allt som vi hade från grundskolan. Det är därför jag älskade matte 1. Är jättelätt, men när det går vidare till 2, 3 o o så är det sååå svårt. Så svaret på din fråga nej jag har inte fått trigonometri under matte 1c.
Då rekommenderar jag att du läser igenom det som jag länkade till i inlägg #57.
Absolut det ska jag göra. Har det redan uppe och läser igenom det ett steg i taget. Tack Smaragdelena!
ii_noor06 skrev:Fråga 2: Så här?
Nej. Den punkten du har markerat har en positiv horisontell koordinat eftersom den ligger till höger om den vertikala axeln
- Horisontell betyder vågrät, dvs liggande.
- Vertikal betyder lodrät, dvs stående.
Det finns bara två punkter på enhetscirkeln som har den horisontella koordinaten , nämligen och .
Vad menar du med -\ftac1 roten ur 2?
ii_noor06 skrev:Vad menar du med -\ftac1 roten ur 2?
Det blev fel på formateringen. Jag har uppdaterat svaret nu.
Så.

Ja, det stämmer.
Rita även ut en vinkel mot den linje (radie) som pekar ut P1. Kalla den vinkeln v1
Nej den vinkel du har markerat nu är radianer. Den går inte mot den radie som pekar ut P1.
Se svar #49
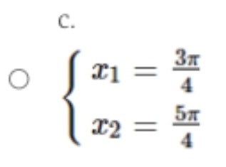
OK bra. Vi har alltså konstaterat att det I intervallet endast är vinklarna och som uppfyller villkoret .
Vi ser vidare att ligger i kvadrant 2, dvs i intervallet och att ligger i kvadrant 3, dvs i intervallet
Det enda alternativ i ursprungsuppgiften som stämmer med detta är alternativ c:

Ahaaaa...... Tack såååå jättteee myckeettttt. Älskar dig tack för all hjälp!
Bra. Läs nu igenom hela tråden en gång till.
=====
Se sedan till att du förstår konceptet med enhetscirkeln och grundläggande egenskaper hos den, som t.ex.
- att en punkt på enhetscirkeln har koordinaterna .
- att vinklarna I kvadrant 1 går mellan och radianer ().
- att vinklarna i kvadrant 2 går mellan och radianer ()
- att vinklarna i kvadrant 3 går mellan och radianer ().
- att vinklarna i kvadrant 4 går mellan och radianer ().
- hur man i den kan illustrera ekvationer som med hjälp av en vertikal vertikal linje och med hjälp av en horisontell linje.
Utlöver detta finns det massor av trigonometriska formler och samband som kan härledas med hjälp av enhetscirkeln.
??



