Invändnings uppgifter på matte




















Vill du bara visa hur du tidigare har löst uppgifter eller vill du att vi ska kommentera? Och i så fall vad/hur?
Jag vill gärna att du tittar på det här. Detta är B matte. Jag har lagt lite över en insändnings uppgifter. Höll på ladda lite till. Det blir inte många sidor ytterligare. Jag vill visa, eftersom du talade om att jag inte kan visa upp typ utträkningar. Jag gjorde ännu bättre än det här, när det var prov. Jag skrev väldigt mycket och visade förfärligt mycket allt möjligt.
Min sambo som rättade provet sa till mig att så här får jag inte göra. Jag har inte gott om tid skriva. Då bodde vi inte ihop med varandra.
Du får rätta och kolla. Jag ville särskild visa Dig Yngve det här.
Du får kommentera, Yngve. Jag skickar några antal sidor ytterligare hit.
Jag vet inte, hur väl du ser det här. Jag skriver nu från telefonen. De här uppgifterna är gjorda för länge sedan.
Päivi skrev :Jag vill visa, eftersom du talade om att jag inte kan visa upp typ utträkningar.
Det har jag inte sagt Päivi.
Jag tyckte att det där med bråk historien var lite över onödigt gnäll, när jag till o med talade om varför jag gjorde så. Jag var inte ute efter det felet. Jag tyckte inte att jag fick rätt svar. Jag hittade inte fel och därför sökte jag hjälp. Jag ville bara tala om att jag hade multiplicerat med 5x. Sedan rättade jag upp och visade att nu fortsätter jag. Det var gnäll.
Jag kan minsann visa, men jag brukar visa bästa sidorna pä provet.
Jag är inte riktigt pigg att tänka riktigt klart än.
Bråk räkning kan jag. Ingen lärare har gnällt på mig. Min sambo tyckte om min presentation. Jag var bra på muntliga delen, när den andra läraren hade det. Jag kommer inte ihåg namnet på personen. Träffade honom en enda gång.
Päivi skrev :Jag tyckte att det där med bråk historien var lite över onödigt gnäll, när jag till o med talade om varför jag gjorde så. Jag var inte ute efter det felet. Jag tyckte inte att jag fick rätt svar. Jag hittade inte fel och därför sökte jag hjälp. Jag ville bara tala om att jag hade multiplicerat med 5x. Sedan rättade jag upp och visade att nu fortsätter jag. Det var gnäll.
Du kan kalla det vad du vill, men så länge du skriver felaktiga saker i dina uträkningar så kommer vi att anmärka på dem.
Jag skickade PM till dig.
Tråd flyttad från Övriga diskussioner > Allmänna diskussioner till Matematik > Allmäna diskussioner. /moderator
Hej Päivi.
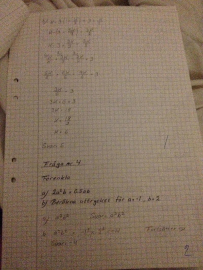
Jag har inte läst igenom och kontrollerat alla dina inlämningsuppgifter, men jag kan efter en snabb genomläsning konstatera att den lärare som rättade dessa uppgifter inte gjorde ett speciellt bra jobb.
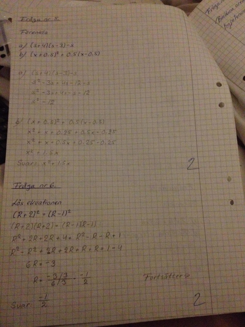
1. Det är ofattbart att du inte fick någon kommentar på att du två gånger använt pq-formeln på ett felaktigt sätt:


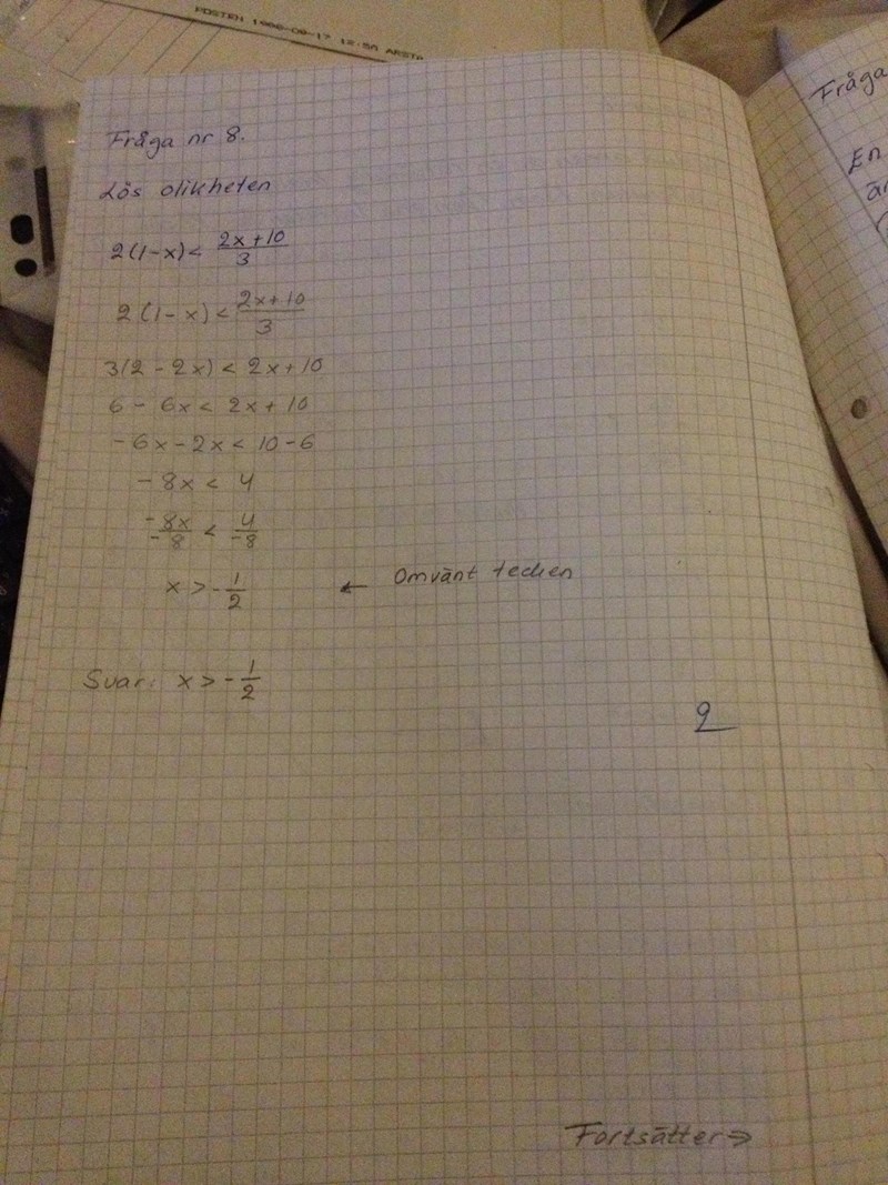
2. Det är märkligt att du inte fick någon kommentar på att du missade att vända på olikhetstecknet när du dividerade med ett negativt tal:

Han gick efter bedömningen det som var före 2011. Han hade med mig telefon kontakt och talade om felen på det viset.
Håller med Yngve. Varken pq-formeln eller olikhetstecken ändrades 2011. Den läraren gjorde ett dåligt jobb.
Han hade distans elever. Eleverna jobbade hemifrån. Vissa hade kontakt via internet och andra per telefon. Sedan fick var och en ta reda på det som de behövde. Han meddelade inget. Man fick ta eget ansvar, vad man lärde sig. Han hade lektioner också till vissa. De lektionerna var jag aldrig på. Bodde inte ens närheten av skolan. Jag hade 12 mil till skolan. på de tiderna. Fick åka tenta 12 mil. Det blev när man hade läst allting färdigt.
Detta var B kursen, men det fattas några insändnings uppgifter som jag inte mer hittar.
När jag kom till c kursen, då var han på mig. Jag har en riktigt gammal pärm om c matte. Jag gjorde en insändnings uppgift. Sedan fortsatte jag inte med matte. Vi fick helt plötsligt annat där mellan. Då var matte i färskt minne som det inte är idag. Jag kommer inte ihåg allt fast kommer ihåg mycket. Förra året var jag tvungen repetera hela aritmetik som hade med c matte att göra. Tittade på matte 3 också. Gjorde halva boken förra året. Det var repetition från matte 1 och 2. Sedan händer döds fallet. Det gjorde mig rörig. Nu känns det bättre idag, men någon månad tillbaka, då kom jag inte ihåg, vad jag än läste. Nu är det lättare ändå. Det var mycket tjafs runt begravningar och mycket annat som påverkade det hela. Får helt plötsligt ett brev från advokaten, men jag tog kontakt med en advokat som jag kände. Fick min sak bli ordning till slut. Det har varit mycket som har påverkat mig plus sorgen. Nu är det lugnt i den fronten. Nu är det lättare kunna koncentrera sig på matte än tidigare.
Hej Päivi.
Jag tycker att dessa gamla lösningar du har visat här är tydliga och prydliga. De ser väldigt bra ut, bortsett från de felen jag påpekade tidigare.
------------------
Min kritik nu är alltså inte riktad till dig utan till den lärare som rättade inlämningsuppgifterna.
Jag antar att det är läraren som skrivit dit poängen 2 längst ner till höger på papperet och att inte då samtidigt tydligt markera vad som är fel tycker jag är riktigt dåligt av läraren.
Du har ju här på Pluggakuten tidigare gjort exakt samma fel med pq-formeln som i inlämningsuppgifterna. Det kan mycket väl bero på att ingen har påpekat det tillräckligt tydligt för dig tidigare.
Då är det bra att jag blir påpekade på snällt sätt. Det tar jag åt mig och försöker ändra på det.
Jag har en gammal pärm om sådana räkningar som inte har något med insändnings uppgifter att göra med. De uppgifterna är gjorda i flera år tillbaka. Där har läraren varit på mig. Jag skulle kunna visa något sådant till dig här framöver.
Jag var ännu bättre på visa vad jag kunde, när det var prov. Jag gjorde inte mitt bästa vid insändnings uppgifterna. Jag skärpte mig väldigt när det var prov. Jag hade väl 3-4 månader på mig repetera allt.
Jag fick veta att jag är lite ovanlig på presentera matte. Det sa läraren till mig att jag har inte tid i fortsättningen göra så som jag gjorde. Jag tog upp allt. Skrev allt möjligt dit. Det var regler och allt möjligt utöver plus räkne uppgifter. Berättade att så här står det i boken ovs.
Så där gör jag inte i mina block. Jag skriver mycket minnes anteckningar och påpekar mig, vad som är viktigt.
Du behöver inte visa dina gamla uppgifter Päivi.
Nu har du sett lite av det hur jag har kunnat tänka mig göra på prov. Det var ännu mera på prov än i insändnings uppgifterna. I provet skärpte jag mig.
Jag kunde böckerna utantill. Visste exakt, vad det stod i boken. Det som jag inte kunde utantill, det var bara sido nummer på boken. Så väl hade jag läst matte.