3
svar
190
visningar
Rambo behöver inte mer hjälp
invers av andragradare
Halloj, håller på med lite inverser av fuinktioner.
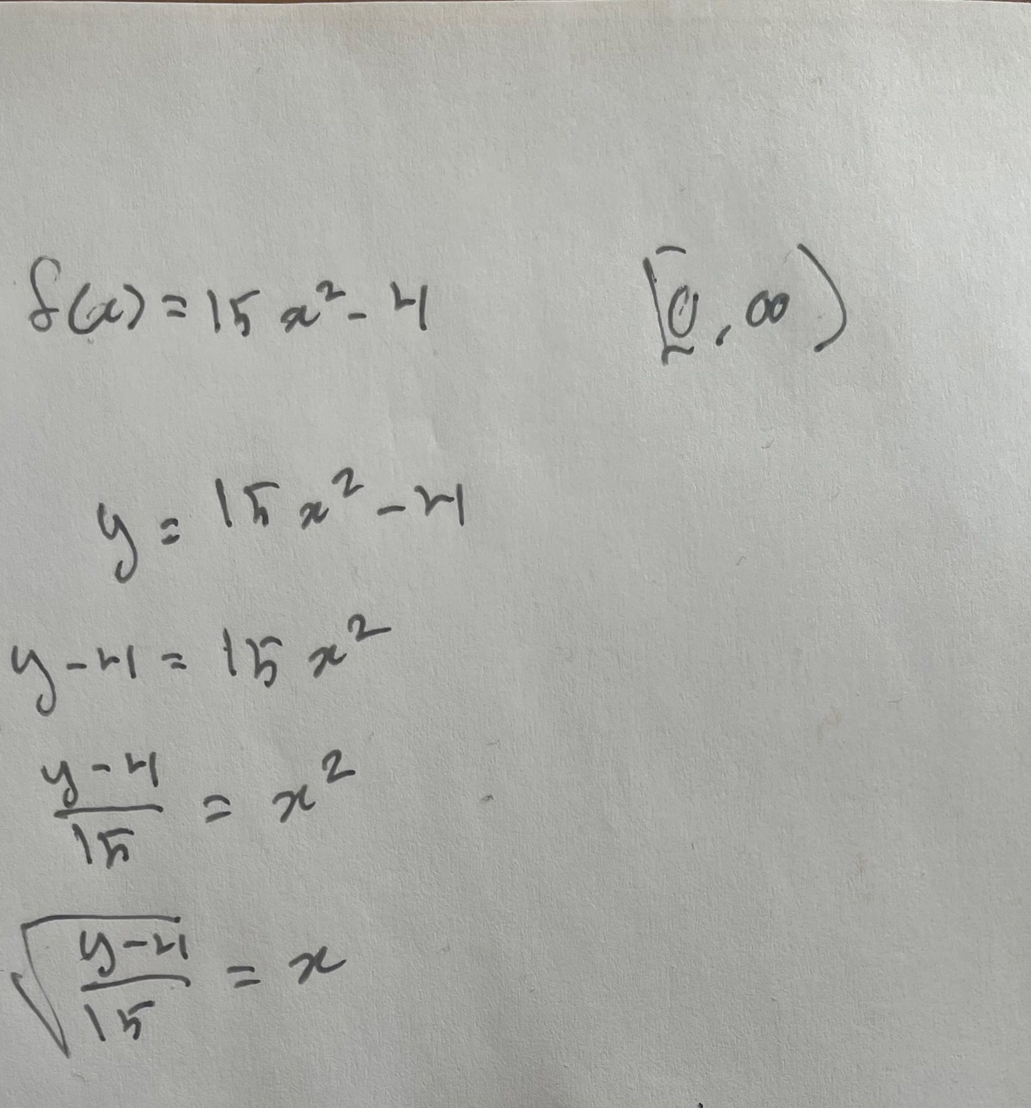
om jag har med en definitionsmängd som är och jag ska hitta inversen på denna funktion så tänkte jag såhär:
Det fungerar ju uppenbarligen inte eftersom inversen inte blir definierad för alla 0<y<4. Hur ska man tänka istället? tack på förhand.
Hur kom du från andra till tredje raden?
Det borde vara y+4 när du adderar med konstanten 4. Ist är VL y-4.
oj det gick lite för snabbt där hahah