1
svar
120
visningar
Invers Laplace Transform
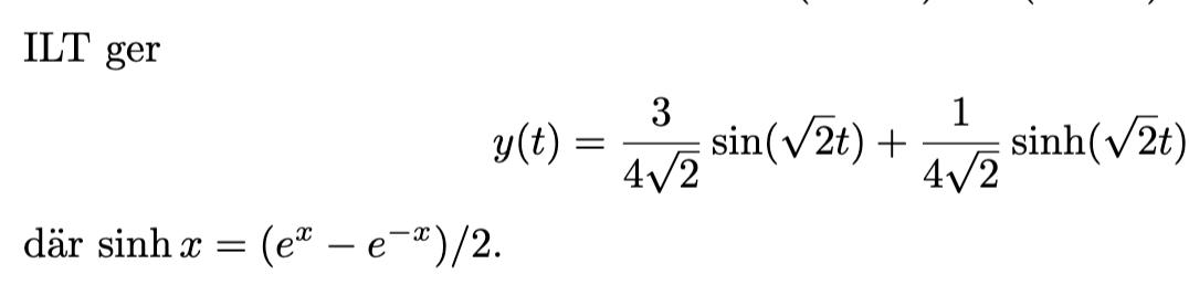
Jag ska invers Laplace transformera
med hjälp av regel L.16
men jag blir lite förvirrad över hur det blir med termen som har 4(s^2-1) i nämnaren. Blir a = ?
i lösningsförslaget står det såhär 
och jag gjorde såhär :

har jag gjort på rätt sätt eller tänker jag fel? För står inte riktigt sinh i lösningsförslaget heller.
Jag tror era svar är samma. Skriv om ditt sin med eulers formler och förenkla så ser du säkert.