invers substitution endimensionell analys 2
Hej behöver hjälp med denna fråga

det handlar om att evaluera integralen mha invers subsitution och vi har gått igenom den för tan och sin
jag förstår delen med att rita ut en hjälptriangel, få alla uttryck för x, dx/dtheta, dx och sedan ersätta alla termer man har fått med de i integralen men sedan ?
vad jag har svårt med att förstå är när man ska sluta förenkla integralen och vad det är man vill komma fram till, är det att man vill komma fram till ett uttryck som liknar en standardintegral och därifrån integrera och substituera termerna ??
Förstår inte riktigt syftet eller hur man ska komma fram till det man vill ha.
tack för hjälpen på förhand!
Ja, man vill komma fram till en primitiv funktion. Det är inte alltid det går, men får man uppgiften att göra det så går det.
Laguna skrev:Ja, man vill komma fram till en primitiv funktion. Det är inte alltid det går, men får man uppgiften att göra det så går det.
hur menar du med primitiv funktion, ska det vara nåt som är en standard integral ?
Enligt min uppfattning skall svaret var en primitiv funktion som inte innehåller några ytterligare integraler.
Analys skrev:Enligt min uppfattning skall svaret var en primitiv funktion som inte innehåller några ytterligare integraler.
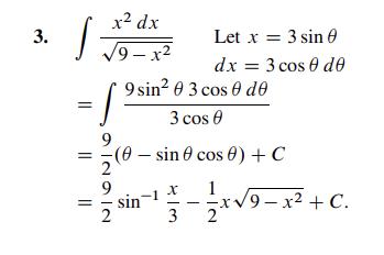
ja, såhär ser facit ut 
förstår bara inte hur man kommer fram till svaret efetr att man ersatt alla utryck med sina nya uttryck
Man använder
Man kan ju även hitta den primitiva funktionen via partiell integration men det var ju inte det ni skulle göra i den här uppgiften.
Tillägg: 29 dec 2022 14:00
Glöm detta. Man klarar inte denna med partiell integration. Tänkte fel.