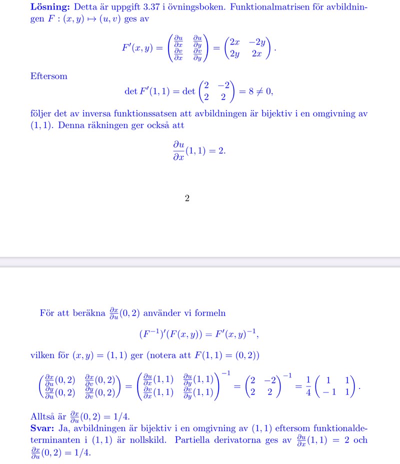
Inversa funktionssatsen

Får jag den positiva tecknet eftersom jag kollar på en omgivning kring (1,1) med inversa funktionssatsen och därmed får u = 2 > 0 för ? Vet inte om man kan tänka så

Efter din femte rad tror jag inte du behöver skriva mer. In fact du kan konstatera direkt att funktionen är bijektiv överallt utom origo genom inspektion.
Qetsiyah skrev:Efter din femte rad tror jag inte du behöver skriva mer. In fact du kan konstatera direkt att funktionen är bijektiv överallt utom origo genom inspektion.
Jaha, fast man skulle beräkna den partiella derivatan och jag undrade hur man tar reda på om derivatan är positiv eller negativ eftersom x är en kvadrat
Om du stoppar in (1,1) i u och v så ser de ut att bli 0 och 2, så jag tror inte du ska bryta ut och derivera utan leta upp någon sats så du slipper det. Bijektiv betyder ju att man kan hoppa fram och tillbaka, så det har antagligen med den första derivatan att göra på något sätt.
Micimacko skrev:Om du stoppar in (1,1) i u och v så ser de ut att bli 0 och 2, så jag tror inte du ska bryta ut och derivera utan leta upp någon sats så du slipper det. Bijektiv betyder ju att man kan hoppa fram och tillbaka, så det har antagligen med den första derivatan att göra på något sätt.
Du menar att jag kan få ut med på något sätt?
Ja precis. I envariabel är det bara ta 1/ första så får du andra. Gissar att det är samma här men tycker du ska hitta satsen för att vara säker.
Micimacko skrev:Ja precis. I envariabel är det bara ta 1/ första så får du andra. Gissar att det är samma här men tycker du ska hitta satsen för att vara säker.
Hmm okej tack, dock här får vi i så fall 1/2 =/= 1/4 om man tar 1/första
Micimacko skrev:Ja precis. I envariabel är det bara ta 1/ första så får du andra. Gissar att det är samma här men tycker du ska hitta satsen för att vara säker.

Yes, hittade den i en gammal tenta! Vet dock inte vad det är för formel, inte heller varför det som är utanför matrisen som är värdet för de partiella derivatorna
1/4 är bara utbrutet framför för att det ska se snyggt ut. Gångrar du in den så är första och sista matrisen i raden samma (pga alla likhetstecken mellan ;) ) Så då ser du tydligt i första på vilken plats de olika partiella derivatorna står, och i sista vad värdet är för var och en, så bara att plocka ut den du ville ha. I det här fallet den i övre vänstra hörnet, så 1*(1/4).
Jag trodde satsen hette samma sak som din rubrik? Iaf är det bra visat, så bara att komma ihåg stegen.
Jaa, okej, de partiella derivatorna står ju innanför matrisen. Tack!