1
svar
54
visningar
Soderstrom behöver inte mer hjälp
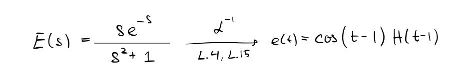
Inverstransformera uttryck
ska inverstransformeras.
I facit löser de uppgiften på det sättet:
Där är följande regler:
Det enda jag ser är att men förstår inte hur reglerna kombineras...
Låt , enligt L.15 blir då .
Du vill inverstransformera
Använd L.4 och definitionen av F(s) ovan (samt såklart.)