1
svar
105
visningar
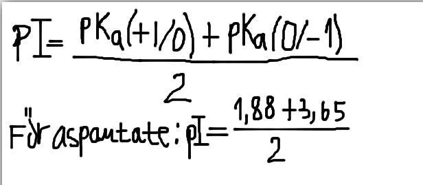
Ionic forms av Aspartate och pI värde
Hej!
Jag förstår hur man ritar upp ionic forms och så, men jag förstår inte hur man går tillväga för att ta reda på pI värdet, nedan har jag bifogat två bilder, där en formel finns på ena av bilderna, hur räknar man ut pI, hur ska man tolka formeln. Det skulle uppskattas mycket om jag fick hjälp!
Tack så mycket!


Enligt engelska Wikipedia är pKa för asparaginsyra 3,9 men det stämmer inte med något av värdena i din formel. Så jag vet inte vad det är man sysslar med. pI för en aminosyra som inte har sur eller basisk sidokedja verkar vara ganska lättbegripligt, men det här har jag inte någon aning om.