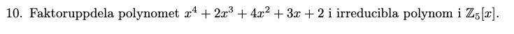
Irreducibla polynom

Jag började med att hitta nollställen till polynomet f(x)=, men jag kom fram till att det inte fanns några i . Då finns det två alternativ, antingen kan polynomet f(x) skrivas som en produkt av två andragradspolynom g(x) och h(x), eller så är f(x) irreducibelt.
Vi kan då skriva g(x)= och g(x)=.
Men om det istället hade stått exempelvis f(x)= och vi säger att polynomet inte har några rötter, hur hade g(x) och h(x) sett ut då? Eller om f(x) har grad 5 och inga rötter, hur skulle g(x) och h(x) se ut?
Om vi fortsätter och räknar så får vi g(x) · h(x)=.
Då ser vi att, A+C=2
B+D+AC=4
AD+BC=3
BD=2
Hur löser man följande ekvation? Kan man bara anta att B=1 och D=2? i sådana fall varför?
Du kan anta det, men om det inte ger någon lösning får du anta något annat.
Tillägg: 4 jan 2022 18:48
Om graden hade varit 5 och inga rötter funnes, så måste faktorerna vara ett andragradspolynom och ett tredjegradspolynom.
Man får först övertyga sig om att det alltid finns sådana faktorer. Jag vet inte hur man gör det. I en del algebraiska strukturer är det inte så, och i en del kan det finnas flera olika faktoriseringar.
Du kan prova med B=1 och D=2. Och leder det till en lösning så är du hemma. Det kan möjligen finnas flera lösningar men du är bara ombedd att hitta en lösning.
okej tack!
Jag fick att . Hur vet jag att är irreducibla?
De enda faktorer de kan ha är förstagradspolynom, och i så fall skulle de ha nollställen.
tack