1
svar
117
visningar
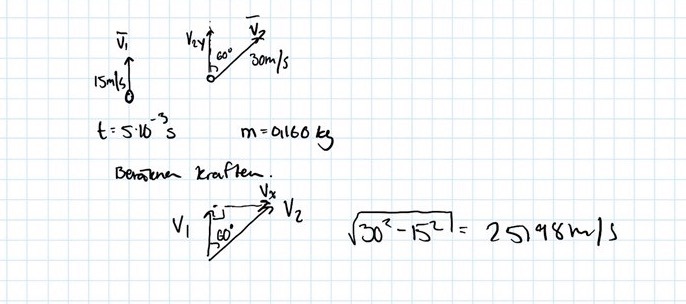
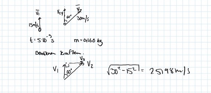
Ishockeypuck

Jag får fram hastigheten, men vet inte hur jag ska beräkna kraften?

Superkemisten skrev:
Jag får fram hastigheten, men vet inte hur jag ska beräkna kraften?
Vad är det du har räknat ut? Vad är det som har denna hastighet? Har du kollat att du kan använda Pythagoras sats, d v s vet du att du har en rätvinklig triangel?

